745.pdf
Unknown Volume 154 pages 7 redactions 0.2% redacted
Help categorize this page (click to add/remove your vote)
2 redactions
1 redactions
3 redactions
1 redactions
NOT A CERTIFIED COPY
JEFFREY EPSTEIN,
Plaintiff/Counter-Defendant,
VS.
SCOTT ROTHSTEIN, individually,
BRADLEY J. EDWARDS, individually,
Defendant/Counter-Plaintiff.
Electronically Filed 10/04/2013 05:03:10 PM ET
IN THE CIRCUIT COURT OF THE
FIFTEENTH JUDICIAL CIRCUIT IN
AND FOR PALM BEACH COUNTY,
FLORIDA
Case No. 50 2009 CA 040800XXXXMBAG
I
----------------
NOTICE OF E-FILING EXHIBITS
Plaintiff/Counter-Defendant Jeffrey Epstein, by and through his undersigned
counsel and pursuant to Rule 2.516 of the Florida Rules of Judicial Administration, hereby
files his exhibits to Plaintiff/Counter-Defendant Jeffrey Epstein's Motion for
Summary Judgment on Defendant/Counter-Plaintiff Bradley Edwards's Fourth
Amended Counterclaim and Supporting Memorandum of Law ("Motion"), previously
filed and accepted by the Palm Beach County, Florida Civil Division Filing # 5846906.
The files accompanying this Notice of Filing Exhibits were previously filed on September
26, 2013 and again on October 2, 2013, but moved to Pending Queue due to procedural
issues. This filing is an attempt to correct those procedural issues. The attachment hereto
contains the exhibits to the above referenced Motion, which is not being re-filed
contemporaneously herewith. However, the exhibits are being divided based upon the
filing requirements of the rules of e-filing; each new exhibit begins when so marked on the
is so marked on the bottom of the first page of said exhibit.
NOT A CERTIFIED COPY Epstein v. Rothstein, et al. WE HEREBY CERTIFY that a true and correct copy of the foregoing was served, via electronic service (through the e-file portal), to all parties on the attached service list, this October 3, 2013. 2 /s/ Tonja Haddad Coleman Tonja Haddad Coleman, Esq. Florida Bar No.: 176737 Tonja Haddad, PA 5315 SE 7' 11 Street Suite 301 Fort Lauderdale, Florida 33301 954.467.1223 9 54 .3 3 7. 3 716 (facsimile) Attorneys for Epstein
NOT A CERTIFIED COPY SERVICE LIST CASE NO. 502009CA040800XXXXMBAG Jack Scarola, Esq. jsx@searcylaw.com; mep@searcylaw.com Searcy Denney Scarola et al. 2139 Palm Beach Lakes Blvd. West Palm Beach, FL 33409 Jack Goldberger, Esq. jgoldberger@agwpa.com; smahoney@agwpa.com Atterbury, Goldberger, & Weiss, PA 250 Australian Ave. South Suite 1400 West Palm Beach, FL 33401 Marc Nurik, Esq. 1 East Broward Blvd. Suite 700 Fort Lauderdale, FL 33301 Bradley J. Edwards, Esq. brad@pathtojustice.com Farmer Jaffe Weissing Edwards Fistos Lehnnan 425 N Andrews Avenue Suite 2 Fort Lauderdale, Florida 33301 Fred Haddad, Esq. Dee@FredHaddadLaw.com 1 Financial Plaza Suite 2612 Fort Lauderdale, FL 33301 W. Chester Brewer, Jr., Esq. wcblaw(a}ao I .com; wcbcg@aol.com W. Chester Brewer, Jr., P.A. One Clearlake Centre, Suite 1400 250 Australian Avenue South West Palm Beach, FL 33401 (can't) 3 Epstein v. Rothstein, et al.
NOT A CERTIFIED COPY Tonja Haddad Coleman, Esquire Tonja@tonjahaddad.com; efiling@tonjahaddad.com Law Offices of Tonja Haddad, P.A. 315 SE 7th Street, Suite 301 Fort Lauderdale, FL 33301 Attorneys for Jeffrey Epstein 4 Epstein v. Rothstein, et al.
NOT A CERTIFIED COPY Summary Form THE FLORIDA BAR Daily News Summary An electronic digest of media coverage of interest to leaders of The Florida Bar compiled each workday by the Public Information and Bar Services Department. Distributed to Board of Governors, section and committee chairs, staff members, Florida Supreme Court justices and selected other persons. For fax/photocopies of full-text articles, contact the Public Information & Bar Services Department at 850/561-5834 or e-mail pubinfo@tlabar.org. Please visit our Web site (http://www.floridabar.org/DIVCOM/PI/PlNewsSummarv.nsff) for links to full text of articles. Nov. 1, 2010 --Legal Profession-- ON HER TOES-- Florida Trend, http://www.floridatrend.com, Nov. 1, 2010. Pagel of 4 Not only is Pamela C. Marsh the first woman to be appointed U.S. Attorney for Florida's Northern District, she's also the district's first U.S. Attorney who's a former ballerina. Marsh says she's honored that President Barack Obama picked her to lead the U.S. Attorney's Northern District office, but she says being a woman has less impact on her approach to her job than her ballet experience. Dancing professionally for ballet companies in Seattle and Fort Worth in the mid- 1980s, she says, helped her become a more dogged prosecutor. Marsh manages the district's 36 assistant U.S. attorneys and helps them focus on the department's priorities, including healthcare fraud, drug trafficking and Internet crimes against children. STAYING ATOP THE PILE-- Pensacola News Journal/Pensacola Business Journal, http://www.pnj.com, Oct. 31, 2010. The mountain of lawsuits piling up as a result of the BP oil spill could become the largest and most expensive collection of tort damage cases in American legal history. Billions of dollars in damages are at stake as thousands of individuals and business owners sue BP, Transocean and Halliburton. Pensacola attorney Brian Barr is one of four lawyers chosen from a national pool by U...
NOT A CERTIFIED COPY Summary Form --Lawyer Ethics/Legal Discipline-- SCOTT ROTHSTEIN SCANDAL; ONE YEAR LATER-- Sun-Sentinel, http://www.sun- sentinel.com, Oct. 31, 2010. Page 2 of 4 Fallout from the largest fraud in South Florida history continues after the dark secret behind Scott Rothstein's success was revealed a year ago this week. The Ponzi schemer now sits in prison with limited contact from the outside world. While Rothstein's name has been wiped from buildings and billboards, the path of financial destruction left in his wake remains. With the one- year anniversary of the scandal, questions still loom. The Florida Bar has investigated 64 complaints against 49 RRA attorneys and all but four attorneys have been cleared by the Bar of any wrongdoing. Rothstein was disbarred. --Civil Justice Issues-- JUDGE: 357 IDLE FORECLOSURE SUITS GONE IN 2 1/2 HOURS-- The Bradenton Herald, http://www.bradenton.com, Oct. 30, 2010. The foreclosure case was filed in March 2007. Within a month, all of the parties were served with copies of the suit. Then, nothing. The court case sat idle for the next 3 1/2 years, seemingly forgotten among the thousands of foreclosures clogging the legal system. That was until Thursday, when 12th Circuit Court Judge Paul E. Logan dismissed it for inactivity. In the span of 2 1/2 hours, he threw out 357 foreclosure cases because they had been inactive for at least 10 months. The purge was part of an effort to reduce the backlog of open foreclosure cases, estimated at 12,000 in Manatee County alone. The target: A 62-percent reduction, or nearly 7,500 cases, before July. JOE FRANCIS NOT THE ISSUE IN THIS CASE-- Walton Sun/Panama City News Herald, column, http://www.waltonsun.com, Oct. 30, 2010. The column by News Herald editor Mike Caza las states: "There is a reason media companies - and newspapers particularly - fight so hard to protect the rights provided by the First Amendment. And whether the proceedings against 'Girls Gone...
NOT A CERTIFIED COPY Summary Form Page 3 of 4 Florida Today, http://www.floridatoday.com, Oct. 30, 2010. Three years ago, Taj Mahal Owens was sent away to prison for 45 years after a jury found him guilty of attempted second-degree murder and shooting into an occupied motor vehicle. In 2004, Owens waited at a street corner in Melbourne and then shot into a vehicle occupied by his former girlfriend Anntwinnett Dixon and Edmund Cochrane, according to law enforcement authorities. On Friday [Oct. 29], attorneys representing Owens at a post-conviction relief hearing granted by Judge George Maxwell said the two public defenders representing Owens at the time failed to interview two potential alibi witnesses and did not provide Owens proper advice regarding a plea offer. The two public defenders -- Christopher Beres and Terry Locy -- who no longer work for that office, were subpoenaed to appear in court Friday. Beres said the state offered Owens a plea deal of 25 years but he advised his client to reject it, in part, because he believed Cochrane was not going to show up as a witness. Cochrane turned up at the trial and testified identifying Owens as the shooter. SHERIFF MORGAN WILL LIMIT HIS HELLOS-- Pensacola News Journal, http://www.pnj.com, Oct. 30, 2010. Escambia County Sheriff David Morgan agreed Friday [Oct. 29) to a judge's request to stop greeting jury pools who assemble in the courthouse Monday mornings for jury duty. Meanwhile, at least two defense attorneys said Friday they are filing motions for retrials for their convicted clients, claiming Morgan could have unduly influenced jury members. Public Defender James Owens and a group of criminal defense attorneys complained in letters to Chief Judge Terry Terrell on Thursday [Oct. 28] that Morgan's talks with jurors may unfairly sway them to law enforcement's side in criminal cases. For the past several months, Morgan has appeared before citizens summoned to the M.C. Blanchard Judicial Build...
NOT A CERTIFIED COPY Summary Form Page 4 of 4 capacity to execute a will or other document, and who decides when that point has been reached. ### © The Florida Bar - 11/1/2007 - Version 1.0.4 http://www.floridabar.org/DIVCOM/PI/PINEwssummary.nsf/O/a3ftbd43bl28dOl 7852577... 9/25/2013
NOT A CERTIFIED COPY A year after Rothstein, many questions unanswered - South Florida Business Journal Page I of 4 From the South Florida Business Journal : http://www.bizjournals.com/southflorida/print-edition/2010/10/22/rothstein .html SUBSCRIBER CONTENT: Oct 22, 2010, 6:00am EDT A year after Rothstein, many questions unanswered Paul Brinkmann It's been a year since South Florida learned that Scott W. Rothstein was a Ponzi schemer and not just an eccentric, flashy attorney. Rothstein's victims are just starting to recover: Charities still have gaping holes in their budgets, and law firms are still pecking over the carcass of his former law firm, Rothstein Rosenfeldt Adler, in bankruptcy court. The Florida Bar found no cause to investigate 31 former RRA attorneys, and only three cases remain open. Federal authorities moved relatively quickly to indict Rothstein on Dec. 1, after a period during which he helped them bring down reputed mafia members. However, federal prosecutors have only indicted two people related to the scheme: Rothstein and his firm's COO, Debra Villegas. Rude awakening Like a fairy tale gone bad, Rothstein's rags-to-riches story proved to be an illusion noteworthy even by South Florida standards. For four years, Rothstein grinned and glad-handed his way onto billboards and society pages. He threw money around like candy at a parade. He got a former judge, an ex-mayor and a felonious former sheriff to work for him. But, quicker than his meteoric rise, Rothstein was suddenly gone one day - to Morocco. The money was gone, too, in a $1.2 billion Ponzi scheme. That was Oct. 27, 2009. He returned to Florida on Nov. 3. For a month, Rothstein was seen in various spots around town, apparently oblivious, promising to pay people back. The story trickled out about how lurid Rothstein was, including allegations of blackmailing http://www.bizjournals.com/southflorida/print-edition/2010/10/22/rothstein.htrnl ?s==print 9/25/2013 ...
NOT A CERTIFIED COPY A year after Rothstein, many questions unanswered - South Florida Business Journal Page 2 of 4 people to invest in his phony lawsuit settlements. Finally, on Dec. 1, Rothstein was handcuffed and charged. At the time, Daniel Auer, IRS special agent in charge, promised: "We will continue to move foiward with this investigation, wherever it leads, and we will bring to justice those who defrauded the American public and members of our community out of their hard-earned money." A year later, the government has taken its time in fulfilling that promise. Rothstein told the South Florida Sun-Sentinel in November that Fort Lauderdale was "a town full of thieves." Federal investigation Rothstein was sentenced to 50 years in prison on June 9. Authorities charged Villegas on April 27; she pleaded guilty and was sentenced Oct. 4 to 10 years. Their sentencing judges, U.S District Judges James I. Cohn and William Ziech, noted that Rothstein and Villegas would have further sentencing reductions if they continue cooperating with authorities. John Glllies, FBI special agent in charge for Miami, summed up Villegas' crime with these words: "She chose greed over her integrity." Cohn ruled Aug. 30 that about 300 victims were entitled to $363 million in restitution, although only $50 million to $60 million is available. A select list of non-investor clients was made completely whole. At the end of October, people close to the Rothstein investigations were predicting more arrests were imminent. "For the first year, the government apparently wanted to move slowly," said William Scherer, an attorney representing investors in a $150 million lawsuit. "It has seemed like five years' worth of news in one year. 1 ' Bankruptcy case Rothstein's law partner, Stuart Rosenfeldt, tried to put the firm into a state court receivership the day after Halloween 2009. But, several Rothstein victims soon petitioned for a bankruptcy court filing. In bankrupt...
NOT A CERTIFIED COPY A year after Rothstein, many questions unanswered - South Florida Business Journal Page 3 of 4 Rothstein's biggest feeder, George Levin, agreed to settle claims against him by turning in assets valued at up to $200 million. Auto dealership owner Ed Morse, another Rothstein chum, settled for $30 million. Stettin and attorneys in the RRA bankruptcy, including Miami-based Berger Singerman, often clashed with federal authorities over the firm's assets. Cohn has granted the bankruptcy estate custody of RRA's former bank accounts, but federal authorities marshaled other assets, including boats and houses. Investor lawsuit The Rothstein investor lawsuit could be the largest such lawsuit in Broward County history at 2,200 pages, with more than two dozen plaintiffs and two dozen defendants. The big targets are TD Bank and Gibraltar Private Bank & Trust, banks that handled Rothstein's money, but have denied knowing it was dirty. The investor lawsuit handled by Scherer is just starting to schedule depositions of key witnesses. TD Bank's attorneys have sought more time to depose witnesses and ask questions of the plaintiffs. So far, Judge Jeffrey Streitfeld has declined to put limits on depositions. On Oct. 20, the federal Office of Thrift Supervision slapped Gibraltar with a cease and desist order for weak money laundering controls. The bank has declined to comment on whether the order is related to the Rothstein scandal, but is operating under restrictions on how it accepts deposits and compensates officers. Florida Bar takes little action The Florida Bar has taken relatively little action in response to one of the biggest crises in its history. Last November, Rothstein agreed to disbarment on consent. Bar President Jesse Diner issued a statement at the time, saying the Rothstein scandal was "a terribly unfortunate and tragic situation, but it is also a rare circumstance in the legal profession." At the time, Diner said the Bar...
NOT A CERTIFIED COPY A year after Rothstein, many questions unanswered - South Florida Business Journal Page 4 of 4 Few people know where Rothstein is, except that he is supposed to be in federal prison. His name does not come up in a public website search for prisoners' names because he is still cooperating with federal investigators. Rothstein professed remorse in court, but that had little effect on his sentence. In a June 3 letter to Cohn, Rothstein wrote: "I do not really possess the words to adequately explain the magnitude of what I have done, why I did it, and the overwhelming remorse and self-loathing I feel about myself and the intense harm and pain I have inflicted upon innocent people." Whether South Floridians have changed their reaction to Rothstein-type personalities in business remains to be seen. "I think people are being more careful with flamboyant personalities, particularly charities and investors," Scherer said. "We saw that Rothstein could buy political good will and stature. But there have always been frauds, and there will always be." pbrinkmann@bizjournals.com I (954) 949-7562 http://www.bizjournals.com/southflorida/print-editionf2010/ 10/22/rothstein.html ?s=print 9/25/2013
NOT A CERTIFIED COPY
Page 1 of3
Home
I News
I Broward
I Palm Beach
I Sports
I Entertainment
I Travel
I Lii
Opiniou
I Video
1
Home · • Collections ,. Florida Bar
Ads By Google
Shocking
Language
Video
If you don't know
Spanish {and you want
to) you should dick
here to see thls short
video.
Watch Video
AclChOtOH[P
Florida Bar looking at 35 forme1
from Rothstein's firm
January 13, 2010 I By Amy Sherman and Jay Weaver, The Miami I
The Florida Bar is investigating at least 35 former senior le
firm headed by Scott Rothstein, who was disbarred before
using the firm to run a $1.2 billion investment racket.
The Bar confirmed to The Miami Herald on Wednesday th
the former firm -- Rothstein Rosenfeldt Adler -- lied about •
and whether they stole any of it.
Ads By Google
Local Breast Cancer Walk
Making Strides Breast Cancer Walk, Help SavE
MakingStridesWalk. org
http://articles.sun-sentinel.com/20I0-01-13/news/fl-rothstein-conflict-hearing-20100113 _ l ... 9/25/2013
NOT A CERTIFIED COPY Related Articles State Bar Investigates 4 From Rothstein Firm November 26. 2009 Scott Rothstein scandal: One year later November 1, 2010 Judge Warns Of "distressing News" In Scott Rothstein Law ... November 2. 2009 Were Rothstein's Associates Blinded By His 'Star Power'? November 8. 2009 Find More Stories About Florida Bar Page 2 of3 Rothstein is scheduled to plead guilty Jan. 27 to federal rs charges stemming from his massive Ponzi scheme, which funds. Several of Rothstein's former partners have said they wer, law firm to sell bogus legal settlements to wealthy investo1 without mentioning names, have said that some of the la\/\ culpability." The Florida Bar board of governors and its president, Jes! Rothstein in early November when word of the scandal bn pursue the probe into the other lawyers. "The Bar takes this issue very seriously," Diner, a Fort Lat actively investigating and will pursue remedies against an: investigation didn't stop with Scott Rothstein. "This is a terrible thing that has happened to the legal prof the profession and the public to fully investigate this thing. Diner said that Bar investigators will first determine wheth, made any false representations to the Bar when they certi annually certify such accounts, which are used to hold clie memberships. He also said Bar investigators will determine whether any misappropriated money from client trust accounts -- as Re admitted doing when he agreed to be disbarred voluntarill Diner said the Bar, which plays the role of a regulatory pre punishment ranging from a public reprimand to suspensio According to the federal criminal charges, Rothstein raide, firm held at Toronto Dominion Bank in Broward County. The Bar initially disclosed in November that it was investi, fall: name partners Stuart Rosenfeldt and Russell Adler, a general counsel David Boden. Ads By Google Anidjar & Levine Law Firm So Florida Lawyers Specializing in Personal In...
NOT A CERTIFIED COPY Index by Keyword Terms of Service Page 3 of3 Prosecutors have said that Nurik Is not under criminal invE 1rRi€!!1 ~~91f Privacy Policy I Criminal Defense Lawyer Please note tt1e green-line() linked article text tlas been applied commercially without any involvement from our newsroom ectilors, reporters or any ott1er editorial stafL Aggressive Criminal Defense! Free Consultation www.palmbeachcountydefense.com Featured Articles 10 must-see places to visit in Florida MORE: Use your own i PhoI Walmart's Straight· unlimited plan Low white blood cell count not always a sign of Lif medical problem mi Fort Lauderdale accepting Section 8 applications Ta How to recognize and treat a spider bite Ar DE http://articles.sun-sentinel.com/2010-01-13/news/fl-rothstein-conflict-hearing-20100113 _ 1... 9/25/2013
NOT A CERTIFIED COPY This Just In I Sun Sentinel Blogs I 22 former Scott Rothstein attorneys cleared by The Flor... Page I of 5 ,-~ - . SunSentinel.com --.iid',c> Home Broward County Palm Beach County Weather Sports Business Entertainment Consumer Cla Lifestyle --> « Kim Rothstein wants some of her bling back I Main I Scott Rothstein partner Stuart Rosenfeldt testifies under oath » 22 former Scott Rothstein attorneys cleared by The Florida Bar By Peter Franceschina Sun Sentinel ;. Posted by Admin at 1 : 19 PM The Florida Bar has cleared 22 former attorneys who worked at the Rothstein Rosenfeldt Adler law firm of any wrongdoing during the time Ponzi schemer Scott Rothstein was running a massive $1.4 billion fraud scheme. The Bar recently sent out letters notifying the cleared attorneys that a grievance committee found no probable cause of any wrongdoing. Fourteen other attorneys - including name partners Stuart Rosenfeldt and Russell Adler- remain under investigation, according to Bar spokeswoman Karen Kirksey. The cases involving those 14 attorneys have not yet been heard by the grievance committee. The Bar is investigating whether any of the firm's top lawyers were involved in any trust account irregularities at the firm. Rothstein, 48, ran his fraud scheme using the now-bankrupt firm's trust accounts. Bankruptcy records show hundreds of millions of dollars flowing in and out of those accounts. According to the Bar, the cleared lawyers are: Steven L. Abrams Shawn L. Birken Harold S. Bofshever Robert C. Buschel Sara Coen-Giovanelli Mark S. Fistos Scott A. Goldstein Julio E. Gonzalez Jr. Frank Herrera Steven R. Jaffe Christina M. Kitterman Seth Michael Lehrman Arthur C. Neiwirth Steven H. Osber http://blogs.trb.com/news/local/south _ florida/blog/2010/07 /21 _ former _scott_rothstein_ atto... 9/25/2013
NOT A CERTIFIED COPY This Just In I Sun Sentinel Blogs I 22 former Scott Rothstein attorneys cleared by The Flor... Page 2 of 5 John Michael Ross Adam J. Steinberg Richard B. Storfer Osvaldo F. Torres Matthew D. Weissing Johnny Williams Jr. Tami R. Wolfe Blandin J. Wright The attorneys who have not yet had their cases heard, according to the Bar, are: Russell Adler William J. Berger David J. Boden Gary M. Farmer Jr. Denis A Kleinfeld Carl H. Linder Steven N. Lippman Marc S. Nurik Michael A Pancier Carlos J. Reyes Stuart A. Rosenfeldt Grant J. Smith Barry J. Stone Les Stracher The Sun Sentinel obtained a copy of a Bar letter sent last week to one of the cleared attorneys. It is titled, "Notice of no probable cause and letter of advice to accused." The letter says the attorney held himself out as a "partner'' at Rosthstein Rosenfeldt Adler when only Rothstein and Rosenfeldt held equity in the firm (they were 50 percent partners), but the Bar acknowledged that the practice is customary around the country. The Bar apparently heard the cases first involving attorneys who were considered "partners," and those who have not had their cases heard yet were considered "shareholders." It appears the Bar is also looking at whether some of the RRA attorneys were involved in campaign finance violations. Federal prosecutes alleged in their criminal charges against Rothstein that employees of the firm violated state and federal election law by being reimbursed for political contributions. "The Bar also became aware of allegations that lawyers at RRA may have engaged in actions that constituted violations of campaign finance law," the letter says. "It was alleged that lawyers at RRA were instructed to make political campaign contributions that were then reimbursed to the lawyer from funds at RRA." The lawyer who received the clearance letter "denied having knowledge of any trust account irregularities before the news accounts of Mr. Rothstein fle...
NOT A CERTIFIED COPY This Just In I Sun Sentinel Blogs l 22 former Scott Rothstein attorneys cleared by The Flor... Page 3 of 5 I COMMENTS Aw come on, isn't looking the other way a crime? Posted by: i'm no lawyer I July 1, 2010 2:19 PM Is anyone but me tired and disgusted at haveing to look at this crooks smiling face every time the Sun-Sentinel runs a story on him. Posted by: Robert I July 1, 2010 2:30 PM Free Russell!! Posted by: docdecay I July 1, 2010 3:00 PM What about the suspicious employess that worked there? I heard that Andrew Barnett was involved in this fiasco along with others. Posted by: Steven I July 1, 2010 3:27 PM What about the suspicious employess that worked there? I heard that Andrew Barnett was involved in this fiasco along with others. Posted by: Steven I July 1. 2010 3:29 PM Some damn fine lawyers (and former judges) are still in the soup, it looks like. My guess? The ones that didn't just hold themselves out as partners, but were actually partners, are still being investigated for Trust accounting violations. Too bad. But they were supposed to keep track of the accounts. Non-delegable duty, I'm afraid. It an int fair, given the custom of letting the major sharholders do all the accounting. Practice will change as a result. Posted by: Wait-A-Minute I July 1, 2010 4:27 PM And how many of these newly FL Bar cleansed attorneys laundered RRA money for political contributions to Charlie Crist, John McCain, et al? Need a pie? Doesn't he have a mug•shot you could use? I think the smug "I'm a Rock Star" before shot, is best. Posted by: And W'hat About .... l July 1, 2010 6:10 PM Posted by: Cheese I July 1, 2010 6:44 PM What a joke the Bar is you saps. Its a country club for lawyers. Do you really think they're going to revoke somebody's membership in the club for committing a crime? They're slapping each other on the back laughing at the farce they just pulled off ... Posted by: andrew learmonth I July 1, 2010 9:25 PM N...
NOT A CERTIFIED COPY This Just In I Sun Sentinel Blogs I 22 former Scott Rothstein attorneys cleared by The Flor... Page 4 of 5 Shawn Birken? Judge Birken's son? That clears up the mystery why an incompetent like Judge Birken's wife, Barbara McCarthy was appointed to the benh by Charlie. Posted by: Stan I July 2, 2010 8:10 AM What about Pedro Dijols?????? Posted by: Greg I July 2, 2010 8:35 AM The bar giving press releases involving attorneys under investigation is their attempt to look like the knight riding in on his big horse to save the poor public from thse cretins. leave it to a group headed by Jesse Diner to be full of itself. Posted by: klalo I July 2, 2010 8:36 AM lsnt not getting back to clients about their case make clients wonder if the attorney they believe in are really innocent or guilty? Posted by: ULL YI July 2, 2010 2:17 PM The Florida Bar is a criminal enterprise. And no one can reign them in, so the best thing to do is ignore them until they go away. Posted by: Durnl)founded I July 4. 2010 1:23 AM Nice, So I wonder how much the Fla Bar was paid to clear these names. You can't tell me that they knew "NOTHING" about a major scheme that was happening in their very office. Unbelieveable .. I POST A COMMENT Name: Email Address: URL: [J Remember personal info? Comments: (you may use rffML tags for styl!3) To ~~Ip keep spam off our site, please enter the letter "q" in the field below: Posted by: Not surprised J July 18, 2010 11:51 AM http:/ tblogs.trb.com/news/local/south _ florida/blog/2010/07 /2 l _former_ scott _rothstein _ atto... 9/25/2013
NOT A CERTIFIED COPY This Just In I Sun Sentinel Blogs I 22 former Scott Rothstein attorneys cleared by The Flor... Page 5 of 5 http://blogs.trb.com/news/local/south _ florida/blog/2010/07 /21 _former_ scott_rothstein_ atto... 9/25/2013
NOT A CERTIFIED COPY
07/23/2009 13:17 FAX
..
Rothstein Rcsenfek1t Adler
Attorneys at Law
July 22, 2009
Via
Facsmlle:
ROTHSTEIN ROSBNFELT ADLE
305-931-0877 Adam D. Horowitz, Esquire
Stuart S. Mermelsteill, Esquire
561-832-7137 Isidro Manuel Garcia~ Esquire
305-931-0877 Jeffrey Mate Herman, Esquire
305-358-2382 Katherine Earthen Ezell, .Esquire
Robert C. Josefsberg'" BsquiTe
561-684-5707 Jack Hill, Esquire
Dear Counsel.
lg] 001
Bradley J. Ed,:i.--ards
Direct Dial: 954-315-7266
bedv.r'Srds@rra~law.com
We have recently received Notice for Depositions from Adam Horowitz for several witnesses
and the. lever from Jack Hill indicating an intent to take others. We intend to Cross-Notice each
deposition. Additionally, we intend to set the following other individuals for video deposition:
I
'
t. Donald Trump (West Palm Beach)
2. Olen Dubin (West Palm Beach)
3. Ghislain Maxwell (New Y or!<)
4. Sara Keller (New York)
5. Leslie Wexner (Ohio)
6. Bill Clinton (D.C.)
7. Paula-Heil.{New York)
8. Jean -Luc Bruhel (New York)
~ 1t EXHlBIT~
DepononJiltfk.i,J,_
D:ne-Rptr. e.Jft'
l>E2'0l!Oo1<
Repry To: us Olai• City Cantre• 401 East L• Ota$ Boulevard 1 $uite 1650 • Fort Lauderdale, Aorida 33301 Telep none: (9$4) 522-,45$ • Fax: (954)527•8663
80CA RATON• FOKT LAUDERDALE• l'AIAMI, NaW YORI< CITY • TAUAHASSEE' • WASHINGTON D.C:, • WEST ?ALM BEACH
EXHIBITM
NOT A CERTIFIED COPY 07 /2312009 13 ,:1 S FAX July 22, 2009 Page 2of 3 ROTHSTEIN ROSBNFBLT ADLE We will choose dates that have not already been occupied by other depositions already set in this case, If you would like to be included in the scheduling of these depositions, please provide me with your scheduling secretaries' names and e•mail addresses. '1.f any of you do JlQt need to be consulted regarding the scheduling of these depositions~ please advise me of that as wells. Very truly yours, ROTHSTEIN ROSENFELDT ADLER -- Bradley J. Edwards. Esquire Partner Fort the Pinn BJE/rngl
NOT A CERTIFIED COPY UNITED STATES DISTRICT COURT SOUTHERN DISTRICT OF FLORIDA CASE NO. 08-CIV -MARRA/JOHNSON JANE DOE, Plaintiff, VS. JEFFREY EPSTEl'N, Defendant. _______________ ./ NOTICE OF TAKING VIDEO DEPOSITION PLEASE TAKE NOTICE that the Plaintiff, JANE DOE, will take the deposition of Leslie Wexler on Friday, August 14, 2009, at 11 :00 a.m., at: McGinnis & Associates 5701 North High Street Suite 300 Worthington, OH 43085 (614) 431.1344 The deposition shall be conducted pursuant to the Florida Rules of Civil Procedure and shall continue day to day, weekends and holidays excepted, until completed. I HEREBY CERTIFY that a true and correct copy of the foregoing has been served by U.S. Mail and email transmission this z_f day of July, 2009 to all those on the attached Service List. EXHIBITN
NOT A CERTIFIED COPY cc: US Legal Support Court Reporters ROTHSTEIN ROSENFELDT ADLER Attorneys for Plaintiff 401 East Las Olas Blvd., Suite 1650 Fort Lauderdale, Florida 33301 Tel: (954) 522-3456 Fax: (954) 527-8663 Email: bedwards@rra-law.com By:~C&Z BRAD EDWARDS, ESQ. Florida Bar No.: 542075
NOT A CERTIFIED COPY WE HEREBY CERTIFY that a copy of the foregoing was mailed this,1Sth day of July, 2009, to: Via regular mail and fax to: Robert D. Critton, Jr., Esquire 515 N. Flagler Drive, Suite 400 West Palm Beach, Florida 33401 56 l-488-6929 fax rcrit@bclclaw.com Via email to: Jack Patrick Hill jph@searcylaw.com Isidro Manuel Garcia isidrogarcia@bellsouth.net Katherine Warthen Ezell Kezell@podhurst.com Michael James Pike Mpik:e@bclclaw.com Paul G. Cassell cassellp(@,law.utah.edu Richard Horace Willits lawyerwillits@aol.com Robert C. Josefsberg rj osefsbert@:podhurst.com Stuart S. Mermelstein ssm(t;usexabuseattomey.com Adam D. Horowitz ahorowitz@sexabuseattomey.com ROTHSTEIN ROSENFELDT ADLER Attorneys for Plaintiff 401 East Las Olas Blvd., Suite 1650 Fort Lauderdale, Florida 33394 Telephone (954) 522-3456 Telecopier (954) 527-8663 By:~~ Bradley J. Edwards Florida Bar No. 542075 •
NOT A CERTIFIED COPY bedwardsf@,rra-law .com William J. Berger Florida Bar No. 197701 wberger@rra-law.com
NOT A CERTIFIED COPY AO 88A (Rev, 0I/09)Subpoenll to Testify 11ta Deposition or to Produce Documents in a Civil Action UNITED STATES DISTRICT COURT for the Southern District of Florida JANE DOE Plaintiff v. JEFFREY EPSTEIN Defendant ) ) ) ) ) ) Civil Action No. 08-80893CIV-MARRA/JOHNSO (If the action is pending in another district, stale where: SUBPOENA TO TESTIFY AT A DEPOSITION OR TO PRODUCE DOCUMENTS IN A CIVIL ACTION To: Leslie H. Wexler, One Whitebam Road, New Albany, Ohio 43054 r/ Testimony: YOU ARE COMMANDED to appear at the time, date, and place set forth be]ow to testify at a deposition to be taken in this civil action. If you are an organization that is not a party in this case, you must designate one or more officers, directors, or managing agents, or designate other persons who consent to testify on your behalf about the following matters, or those set forth in an attachment: Place: McGinnis & Associates Date and Time: 5701 North High Street, Suite 300 08/14/200911 :00 am The deposition will be recorded by this method: ------------~--------~ □ Production: You, or your representatives, must also bring with you to the deposition the following documents, electronically stored information, or objects, and permit their inspection, copying, testing, or sampling of the material: The provisions of Fed. R. Civ. P. 45(c), relating to your protection as a person subject to a subpoena, and Rule 45 (d) and (e), relating to your duty to respond to this subpoena and the potential consequences of not doing so, are attached. CLERK OF COURT OR a;?~ Signature of Clerk or Deputy Clerk Attorney's signature The name, address, e-mail, and telephone number of the attorney representing (1mme of party) ------------------------~ , who issues or requests this subpoena, are: Brad Edwards, Esq., ROTHSTEIN ROSENFELDT ADLER , . Attorneys for Plaintiff, 401 East Las Olas Blvd., Suite 1650, Fort Lauderdale, Florida 33301, bedwards@rra-law.com (...
NOT A CERTIFIED COPY AO 88A (Rev. 01/09) Subpoena 10 Testify at a Deposition orto Produce Documents in II Civil Action (Page 2) Civil Action No. 08-80893CIV~MARRA/JOHNSO PROOF OF SERVICE (This section should not be.filed with the court unless required by Fed. R. Civ. P. 45.) This subpoena for (name of individual and title, if any) was received by me on (date) 0 I personally served the subpoena on the individual at (place) on (date) ; or ----------------------- -------- 0 I left the subpoena at the individual's residence or usual place of abode with (name) , a person of suitable age and discretion who resides there, ------------------ on. (daJe) ' and mailed a copy to the -individual's last known address; or 0 I served the subpoena on (name of individuaQ , who is designated by law to accept service of process on behalf of (name of organization) on (date) ; or ----------------------- -------- 0 I returned the subpoena unexecuted because □ Other (specify): Unless the subpoena was issued on behalf of the United States, or one of its officers or agents, I have also tendered to the witness fees for one day's attendance, and the mileage allowed by law, in the amount of $ My fees are$ for travel and $ for services, for a total of $ 0.00 I declare under penalty of perjury that this information is true. Date: Server ·s signature Printed name and title Server's address Additional information regarding attempted service. etc: ; or
NOT A CERTIFIED COPY UNITED STATES DISTRICT COURT SOUTHERN DISTRICT OF FLORIDA CASE NO. 08-CIV -MARRA/JOHNSON JANE DOE, Plaintiff, vs. JEFFREY EPSTEIN, Defendant. ---~----------......___,;' NOTICE OF TAKING VIDEOTAPED DEPOSITION PLEASE TAKE NOTICE that the Plaintiff, JANE DOE, will take the deposition of Ghislane Noelle Maxwell on Monday, August 17, 2009, at 11:00 a.m., at: Esquire Court Reporters One Penn Plaza Suite 4715 New York, NY 10119 The deposition shall be conducted pursuant to the Florida Rules of Civil Procedure and shall continue day to day, weekends and holidays excepted, until completed. I HEREBY CERTIFY that a true and correct copy of the foregoing has been served by U.S. Mail and email transmission this 2.~ day of July, 2009 to all those on the attached Service List.
NOT A CERTIFIED COPY cc: US Legal Support Court Reporters ROTHSTEIN ROSENFELDT ADLER Attorneys for Plaintiff 401 East Las Olas Blvd., Suite 1650 Fort Lauderdale, Florida 33301 Tel: (954) 522-3456 Fax: (954) 527-8663 Email: bedwards@rra-law.com By:~ BRADE~- F1artda Bar No.: 542075
NOT A CERTIFIED COPY
AO 88A {Rl!v. 01/09) Subpoena to Testify at a Deposition or to Produce Documents in a Civil Action
UNITED STATES DISTRICT COURT -
for the
Southern District of Florida
JANE DOE.
Plaintiff
v.
JEFFREY EPSTEIN
Defendant
)
)
)
)
)
)
Civil Action No. 0&-80893CIV-MARRA/JOHNSO
(If the action is pending in another district, state when::
SUBPOENA TO TESTIFY AT A DEPOSITION
OR TO PRODUCE DOCUMENTS IN A CIVIL ACTION
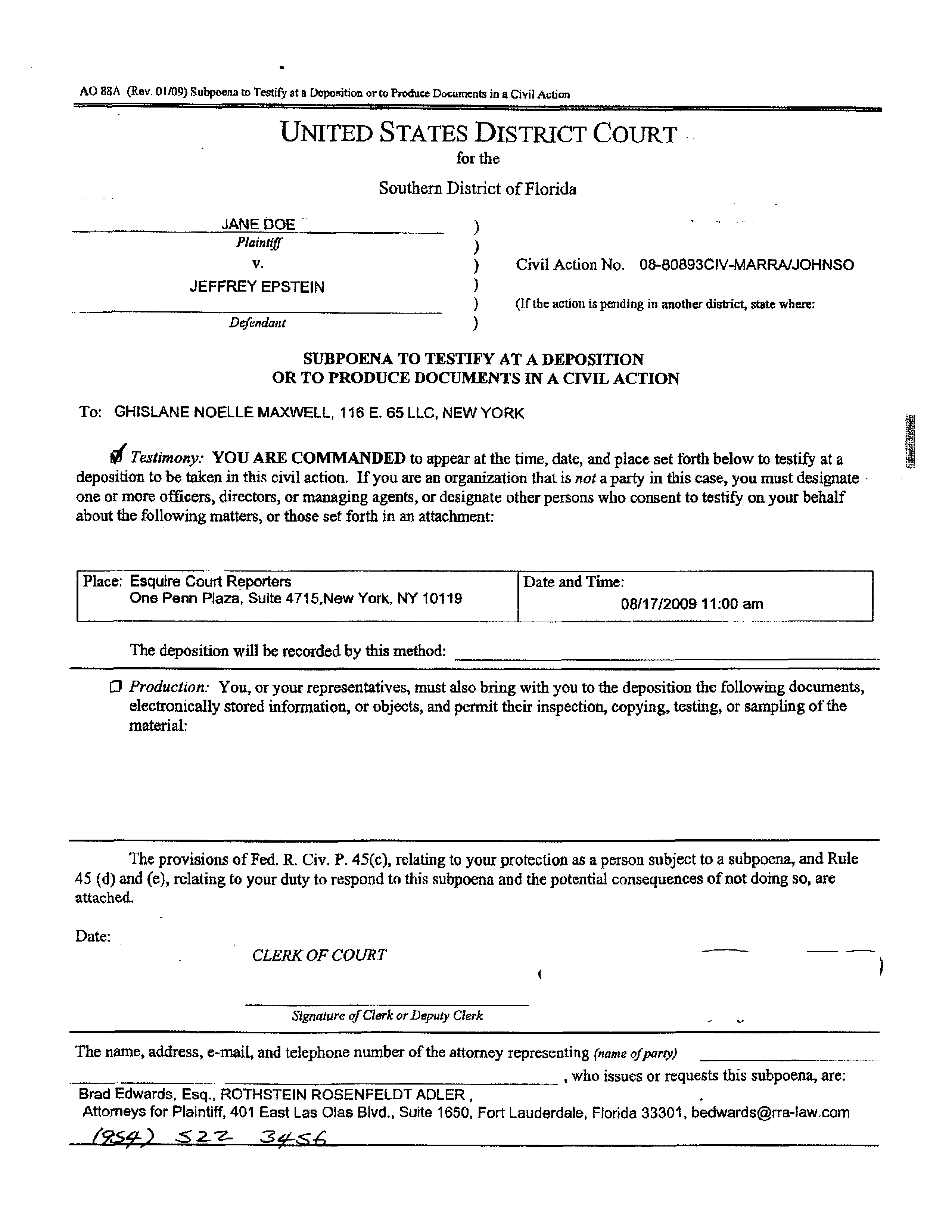
To: GHISLANE NOELLE MAXWELL, 116 E. 65 LLC, NEW YORK
fl Testimony: YOU ARE COMMANDED to appear at the time, date, and place set forth below to testify at a
deposition to be taken in this civil action. If you are an organization that is not a party in this case, you must designate -
one or more officers, directors, or managing agents, or designate other persons who consent to testify on your behalf
about the following matters, or those set forth in an attachment:
Place: Esquire Court Reporters
Date and Time:
One Penn Plaza, Suite 4715,New York., NY 10119
08/17/200911:00 am
The deposition will be recorded by this method: _____________________ _
0 Production: You, or your representatives, must also bring with you to the deposition the following documents,
electronically stored information, or objects, and pennit their inspection, copying, testing, or sampling of the
material:
The provisions of Fed. R. Civ. P. 45(c), relating to your protection as a person subject to a subpoena, and Rule
45 (d) and (e}, relating to your duty to respond to this subpoena and the potential consequences of not doing so, are
attached.
Date:
r/27 /o<f
~ I
CLERKOFCOURT
~
- - - - OR ~
~
Signature of Clerk or Deputy Clerk
Attorney's signature
The name, address, e-mail, and telephone number of the attorney representing (name of party)
_________________________ , who issues or requests this subpoena, are:
Brad Edwards, Esq., ROTHSTEIN ROSENFELDT ADLER,
Attomeys for Plaintiff, 401 East Las Olas Blvd., Suite 1650, Fort Lauderdale, Flo...
NOT A CERTIFIED COPY AO 88A (Re,v. 01/09) Subpoen11 to Testify at a Depoaitio11 or to Produce Documents in II Civil Action (Page 2) Civil Action No, 08-80893CIV-MARRA/JOHNSO PROOF OF SERVICE (This secnon should not be filed with tlie court unless required by Fed. R. Civ. P. 45.) This subpoena for (name of individual and title, if any) was received by me on (date) ------ □ I personally served the subpoena on the individual at (place) on (date) ; or -------------~--------- -------- 0 I left the subpoena at the individual's residence or usual place of abode with (name) , a person of suitable age and discretion who resides there, ------------------ 0 n (date) , and mailed a copy to the individual's last known address; or ------- 0 I served the subpoena on (name of individual) , who is ------~----------- designated by law to accept service of process on behalf of (name of organization) on (date) ; or ----------------------- -------- 0 I returned the subpoena unexecuted because 0 Other (specify): Unless the subpoena was issued on behalf of the United States, or one of its officers or agents, I have also tendered to the witness fees for one day's attendance, and the mileage allowed by law, in the amount of $ My fees are$ for travel and $ for services, for a total of $ 0.00 I declare under penalty of perjury that this information is true. Date: Server's signature Printed name and title Server 's address Additional information regarding attempted service, etc: ; or
NOT A CERTIFIED COPY UNITED STATES DISTRICT COURT SOUTHERN DISTRICT OF FLORIDA CASE NO, 08-CIV -MARRA/JOHNSON JANE DOE, Plaintiff. VS. JEFFREY EPSTEIN, Defendant. ---------------'' NOTICE OFT AK.ING VIDEOTAPED DEPOSITION PLEASE TAKE NOTICE that the Plaintiff, JANE DOE, will take the deposition of Glenn Russell Dubin on Tuesday, August 18J 2009, at 11 :00 a.m., at Esquire Court Reporters One Penn _Plaza . Suite 4715 New York, NY 10119 The deposition shall be conducted pursuant to the Florida Rules of Civil Procedure and shall continue day to day, weekends and holidays excepted, until completed. I HEREBY CERTIFY that a true and correct copy of the foregoing has been served by U.S. Mail and email transmission this ·z.8 day of July, 2009 to all those on the attached Service List.
NOT A CERTIFIED COPY cc: US Legal Support Court Reporters ROTHSTEIN ROSENFELDT ADLER Attorneys for Plaintiff 401 East Las Olas Blvd., Suite 1650 Fort Lauderdale, Florida 33301 Tel: (954) 522-3456 Fax: (954) 527-8663 Email: bedwards@rra-law.com B~~ BRADEDWARD5,ESQ Florida Bar No.: 542075
NOT A CERTIFIED COPY AO BSA (Rev. 01/09) Subpoem1. to Testify flt a Deposition or to Produce Documents in a Civil Action UNITED STATES DISTRICT COURT for the Southern District of Florida JANE DOE Plainltff V. JEFFREY EPSTEIN Defendant ) ) ) ) ) ) Civil Action No. 0&.B089JCIV-MARRA/JOHNSO (lfthe action is pending in another district, state where: SUBPOENA TO TESTIFY AT A DEPOSITION OR TO PRODUCE DOCUMENTS IN A CML ACTION To; Glenn Russell Dubin, 1010 5th Avenue, Unit 10A, New York, NY 10028 fl Testimony: YOU ARE COMMANDED to appear at the time, date, and place set forth below to testify at a deposition to be taken in this civil action; If you are an organization that is not a party in this case, you must designate one or more officers, directors, or managing agents, or designate other persons who consent to testify on your behalf about the following matters, or those set forth in an attachment: Place: Esquire Court R~porters Date and Time: One Penn Plaza, Suite 4715,NewYork, NY 10119 08/18/2009 11 :00 am The deposition will be recorded by this method: ~-------------------- □ Production: You, or your representatives, must also bring with you to the deposition the following documents, electronically stored information, or objects, and permit their inspection, copying, testing, or sampling of the material: The provisions of Fed. R. Civ. P. 45( c ), relating to your protection as a person subject to a subpoena, and Rule 45 (d) and (e). relating to your duty to respond to this subpoena and the potential consequences of not doing so, are attached. Date: i/27 ldf t CLERK OF COURT ~ - - O R ~ ~ Signature of Clerk or Deputy Clerk Attorney 's signature The name, address, e-mail, and telephone number of the attorney representing (name of pa1'ty) ~-~----------------~----- , who 1ssues or requests this subpoena, are: Brad Edwards, Esq., ROTHSTEIN ROSENFELDT ADLER , Attorneys for Plaintiff, 401 East Las Olas Blvd., Suite 1650, Fort Laude...
NOT A CERTIFIED COPY AO 88A (Rev. 01/09) Subpoena to Testify at a Deposition or to Produce Doi;urnentll in a Civil Action (Page 2) Civil Action No. 08-80893CIV-MARRNJOHNSO PROOF OF SERVICE (This section should not be filed wit/, tlie court unless required by Fed. R. Civ. P. 45.) This subpoena for (name af individual and title, if any) was received by me on (doJe) 0 I personally served the subpoena on the individual at (place) on (date) ; or -~--------------------- ~------~ 0 I left the subpoena at the individual's residence or usual place of abode with (name) , a person of suitable age and discretion who resides there, ------------------- on (date) , and mailed a copy to the individual's last known address; or ------- ~ I served the subpoena on (name of indiv~dualj , who is designated by law to accept service of process on behalf of (name of organization) on (date) ; or 0 I returned the subpoena unexecuted because CJ Other (specify).- -------------------- Un1ess the subpoena was issued on behalf of the United States, or one of its officers or agents, I have also tendered to the witness fees for one day's attendance, and the mileage allowed by law, in the amount of $ My fees are$ for travel and $ for services, for a total of $ 0.00 I declare under penalty of perjury that this information is true. Date: Server's signature Printed name arid title Server's address Additional information regarding attempted service, etc: ; or
NOT A CERTIFIED COPY UNITED STATES DISTRICT COURT SOUTHERN DISTRICT OF FLORIDA CASE NO. 08-80893C!V-MARRA/JOHNSON JANE DOE, Plaintiff, VS. JEFFREY EPSTEIN, Defendant. _____________ ___,/ Re~NOTJCE OF TAKING VIDEOTAPED DEPOSITION PLEASE TAKE NOTICE that the Plaintiff, JANE DOE, will take the deposition of Donald Trump on, August 18, 2009, at 11 :00 a.m. 1 at: Esquire Court Reporters One Penn Plaza Suite 4715 New York, NY 10119 The deposition shall be conducted pursuant to the Florida Rules of Civil Procedure and shall continue day to day, weekends and holidays excepted, until completed. I HEREBY CERTIFY that a true and correct copy of the foregoing has been served by U.S. Mail and email transmission this L.fa:ta.y of August, 2009 to all those on the attached Service List.
NOT A CERTIFIED COPY
cc:
Esquire Court Reports
ROTHSTEIN ROSENFELDT ADLER
Attorneys for Plaintiff
401 East Las Olas Blvd., Suite 1650
Fort Lauderdale, Florida 33301
Tel: (954) 522-3456
Fax: {954) 527-8663
Email: bedwards@rra-law.com
BRAD EDWARDS, ESQ.
Florida Bar No.: 542075
NOT A CERTIFIED COPY 09~22785 Robert D. Critton, Jr., Esq. BURM.AN, CRITION, ET AL. 515 North Flagler Drive, Suite 400 West Palm Beach, FL 33401 09-22785 Jay Howell & Assoc., 644 Cesery Boulevard, Suite 250, Jacksonville, FL 32211 09-22785 Jack Alan Goldberger, Esq., Atterbury Goldberger et al., 250 Australian Ave. South, Suite 1400, Service List West Palm aeach, FL 33401. 09-22785 Paul G. Cassell, Esq. 382 South 1400 E Room 101 Salt Lake Cirty, UT 84112 09~22785 Jack Alan Goldberger, Esq. Atterbury, Goldberger & Weiss, PA. 250 Austrailian Avenue South Suite 1400 West. Palm Beach, FL33401-5012 I ~i._ • • ~ I t • ', '-·•·. •,i I ' I I! .~ .
NOT A CERTIFIED COPY UNITED STATES DISTRICT COURT • SOUTHERN DISTRICT OF FLORIDA CASE NO. 08-CIV -MARRNJOHNSON JANE DOE, Plaintiff, vs. JEFFREY EPSTEIN, Defendant. ----------------' NOTICE OF TAKING VIDEOTAPED DEPOSITION PLEASE TAKE NOTICE that the Plaintiff, JANE DOE, will take the depositibr.t .of Nadia Marcinkova on Thursday, September 3, 2009, at 10:00 a.m., at :Jl:.,· · Esquire Court Reporters One Penn Plaza Suite 4715 New York, NY 10119 The deposition shall be conducted pursuant to the Florida Rules of Civil Procedure and shall continue day to day, weekends and holidays excepted, until completed. • i'.". I HEREBY CERTlFY that a true and correct copy of the foregoing has been served by U.S. Mail and email transmission this .1.t.L!(.day of August, 2009 to an those on the attached Service List. 1
NOT A CERTIFIED COPY cc: Esquire Court Reporters ROTHSTEIN ROSENFELDT ADLER Attorneys for Plaintiff 401 East Las Olas Blvd., Suite 1650 Fort Lauderdale, Florida 33301 Tel: (954) 522-3456 Fax: (954) 527-8663 Email: bedwards@rra-law.com By.~ BRAD EDWARDS, ESQ. Florida Bar No.: 542075
NOT A CERTIFIED COPY
AO 88A (Rev. 01/09} Subp!'Cllll to Testify at a Deposition or to Produce Documents in a Civil Action
UNITED STATES DISTRICT COURT
JANE DOE
Plaintiff
v.
JEFFREY EPSTEIN
Defendant
for the
Southern District of Florida
)
)
)
)
)
)
Civil Action No. 08-90893CIV-MARRA/JOHNSO
(Iflhe action is pending in another district, slate where:
SUBPOENA TO TESTIFY AT A DEPOSITION
OR TO PRODUCE DOCUMENTS IN A CML ACTION
To: Nadia Marcinkova, 301 E. 66th Street, New York, NY
,I Testimony: YOU ARE COMMANDED to appear at the time, date, and place set forth below to testify at a
deposition to be taken in this civil action. If you are an organization that is not a party in this case, you must designate
one or more officers, directors, or managing agents, or designate other persons who consent to testify on your behalf
about the following matters, or those set forth in an attachment:
Place: Esquire Court Reporters, One Penn Plaza
Suite 4715, New York, NY
Date and Time:
09/03/2009 11 :00 am
The deposition will be recorded by this method: ____________________ _
□ Production: You, or your representatives, must also bring with you to the deposition the fa I lowing documents,
electronica1ly stored information, or objects, and permit their inspection, copying, testing, or sampling of the
material:
The provisions of Fed. R. Civ. P. 45(c), relating to your protection as a person subject to a subpoena, and Rule
45 ( d) and ( e ), relating to your duty to respond to this subpoena and the potential consequences of not doing so, are
attached.
Date: ------
CLERK OF COURT
OR
Signature of Clerk or Deputy Clerk
A /lorney 's signature
The name, address, e-mail, and telephone number of the attorney representing {name of party)
---------------~---------- , who issues or requests this subpoena, are:
Brad Edwards, Esq., Rothstein Rosenfeldt Adler, 401 E. Las Olas Blvd., Suite 1650, Fort Lauderdale, Florida 33301
Bedwards@rra..Jaw.com. (954) 522 2346 ...
NOT A CERTIFIED COPY AO 88A (~v. 01/09) Subpoena to Testify at a Deposition or to Produco Documents in a Civil Action (Page 2) Civil Action No. 08-90893CIV-MARRA/JOHNSO PROOF OF SERVICE (This sectwn should not be filed with the court unless required by Fed. R. Civ. P. 45.) This subpoena for (name of individual and title, if a/TY) was received by me on (date) a I personally served the subpoena on the individual at (place) ----------------------- on (date) 0 1 left the subpoena at the individual's residence or usual place of abode with (name) ~ or , a person of suitable age and discretion who resides there. -----------------~ on (date) , and mailed a copy to the individual's last known address; or ------- □ I served the subpoena on (name of individual) , who is designated by law to accept service of process on behalf of (name of organization) on (date) ; or ----------------------- -------- □ I returned the subpoena unexecuted because □ Other (specify): Unless the subpoena was issued on behalf of the United States, or one of its officers or agents, I have also tendered to the witness fees for one day's attendance, and the mileage allowed by law, in the amount of $ My fees are$ for travel and $ for services, for a total of$ 0.00 I declare under penalty of perjury that this infonnation is true. Date: Server's signature Prinled name and liile Server 's address Additional information regarding attempted service, etc: ; or
NOT A CERTIFIED COPY AO 88A (Rev. 01/09) Suhpoena to Testify al a Deposition Of' to Produce Documents in II Civil Action (Page 3) Federal Rule of Civil Procedure 45 (c), (d), and (e) (Effective 12/1/07) (c) Protecting a Person Subject to a Subpoena. (1) Avoiding Undue Burikn or Expense; Sanctions. A party or attorney responsible for issuing and serving a subpoena must take reasonable steps to avoid imposing undue burden or expense on a person subject to the subpoena. The issuing court must enforce this duty and impose an appropriate sanction - which may include lost earnings and reasonable attorney's fees - on a party or attorney who fails to comply. (2) Command to Produce Materials or Pmnit Inspection. (A) Appearance: Not Required. A person commanded to produce documents, electronically stored infonnation, or tangible things. or to permit the inspection of premises, need not appear in person at the place of production or inspection unless also commanded to appear for a deposition, hearing, or trial. (B) Objections. A person commanded to produce documents or tangible things or to pennit inspection may serve on the party or attorney designated in the subpoena a written objection to inspecting, copyil'lg, testil'lg or SBmpling any or all of the materials or to inspecting the premises~ or to producing electronically stored information in the form or forms requested. The objection must be served before the earlier of the time specified for compliance or 14 days after the subpoena is served. If an objection is made, the following rules apply: (i) At any time, on notice to the commanded person, the serving party may move the issuing court for an order compelling production or inspection. (ii) These acts may be required only as directed in the order, and the order must protect a person who is neither a party nor a party's officer from significant expense resulting from compliance. (3) Quashing or Modifying a Subpoena. (A) When Required. On t...
NOT A CERTIFIED COPY
UNITED STATES DISTRICT COURT
• SOUTHERN DISTRICT OF FLORIDA
CASE NO. 08-CIV -MARRA/JOHNSON
JANE DOE,
Plaintiff,
vs.
JEFFREY EPSTEIN,
Defendant.
--------------·'
NOTICE OF TAKING VIDEOTAPED DEPOSITION
PLEASE TAKE NOTICE that the Plaintiff, JANE DOE, will take the deposltion·of
Mark Epstein on Monday, September 21, 2009, at 11 :00 a.m., at:
Esquire Court Reporters
One Penn Plaza
Suite 4715
New York, NY 10119
The deposition shall be conducted pursuant to the Florida Rules of Civil Procedure
and shall continue day to day, weekends and holidays excepted, until completed. ••
'
I HEREBY CERTIFY that a true and correct copy of the foregoing has been served
by U.S. Mail and email transmission this .L/41('day of August, 2009 to all those on the
attached Service List.
1
NOT A CERTIFIED COPY cc: Esquire Court Reporters ROTHSTEIN ROSENFELDT ADLER Attorneys for Plaintiff 401 East Las Olas Blvd., Suite 1650 Fort Lauderdale, Florida 33301 Tel: (954) 522-3456 Fax: (954) 527-8663 Email: bedwards@rra-law.com By:~ BRAD EDWARDS, ESQ. Florida Bar No.: 542075
NOT A CERTIFIED COPY AO 88A (Rev. 01/09) Subpoena to Testify at a Deposition or to Produce Documents in a Civil Action UNITED STATES DISTRICT COURT JANE DOE Plaintiff v. JEFFREY EPSTEIN Defendant for the Southern District of Florida ) ) ) ) ) ) Civil Action No. 08-90893CIV-MARRA/JOHNSO (If the action is pending in another district, state where: SUBPOENA TO TESTIFY AT A DEPOSITION OR TO PRODUCE DOCUMENTS IN A CIVIL ACTION To: MarK Epstein, 301 E. 66th Street, New York, NY fl Testimony: YOU ARE COMMANDED to appear at the time, date, and place set forth below to testify at a deposition to be taken in this civil action. If you are an organization that is not a party in this case, you must designate one or more officers, directors, or managing agents, or designate other persons who consent to testify on your behalf about the following matters, or those set forth in an attachment: Place: Esquire Court Reporters, One Penn Plaza Suite 4715, New York, NY Date and Time: 09/21/2009 11:00 am The deposition will be recorded by this method: ----------- □ Production: You, or your representatives, must also bring with you to the deposition the following documents, electronically stored infonnation, or objects, and permit their inspection, copying, testing, or sampling of the material: The provisions of Fed. R. Civ. P. 45(c), relating to your protection as a person subject to a subpoena, and Rule 45 (d) and (e), relating to your duty to respond to this subpoena and the potential consequences of not doing so, are attached. Date: CLERKOFCOURT OR Signature of Clerk or Deputy Clerk Attorney 's signature The name, address, e-mail, and telephone number of the attorney representing (name of party) ---~----------------------- , who issues or requests this subpoena, are: Brad Edwards, Esq., Rothstein Rosenfeldt Adler, 401 E. Las Dias Blvd., Suite 1650, Fort Lauderdale, Florida 33301 Bedwards@rra-law.com. (954) 522 2346 •
NOT A CERTIFIED COPY AO SSA (Rev. 01/09) Subpoena to Testify at a Deposilion or to l"rodu~ Documents in a Civil Action (Page 2) Civil Action No. 08-90893CIV-MARRNJOHNSO PROOF OF SERVICE (This section should not be filed with the court unless require,/ by F etl. R. Civ. P. 45.) This subpoena for (name of individual and title, if any) was received by me on (date) 0 I personally served the subpoena on the individual at (place) on (date) ; or ----------~ a I left the subpoena at the individual's residence or usual place of abode with (name) , a person of suitable age and discretion who resides there, -----------------~ on (date) , and mailed a copy to the individual's last known address; or 0 l served the subpoena on (name of individual) , who is designated by law to accept service of process on behalf of (name of organization) on (date) ; or ----------------------- ------- □ I returned the subpoena unexecuted because 0 Other (specify): Unless the subpoena was issued on behalf of the United States, or one ofits officers or agents, I have also tendered to the witness fees for one day's attendance, and the mileage allowed by law, in the amount of $ My fees are$ for travel and $ for services, for a total of$ 0.00 I declare under penalty of perjury that this information is true. Date: Server's signature Printed name and fille Server's address Additional information regarding attempted service, etc: ; or
NOT A CERTIFIED COPY AO 88A (Rev. 01/09) Subpoena to Testify al a Deposition or lo Produce Documents in a Cb1il Action (Page 3) Federal Rule of CMI Procedure 45 (c), (d), and (e) (Effective 12/1/07) (c) Protecting a Person Subject to a Subpoena. (I) Avoiding Undue Burden or Expense; Sanction& A party or attorney responsible for issuing and serving a subpoena must take reasonable steps to avoid imposing undue burden or expense on a person subject to the subpoena. The issuing court must enforce this duty and impose an appropriate sanction ~ which may include lost earnings and reasonable attorney's foes ~ on a party or attorney who fails to comply. (2) Command to Produce Materials or Permit Inspection. (A) Appearance Not Required A person commanded to produce documents, electronically stored information, or tangible things, or to permit the inspection of premises, need not appear in person at the place of production or inspection unless also commanded to appear for a deposition, hearing, or trial. (B) Objections. A person commanded to produce documents or tangible things or to permit inspection may serve on the party or attorney designated in the subpoena a written objection to inspecting, copying, testing or sampling any or all of the materials or to inspecting the premises - or to producing electronically stored information in the form or forms requested. The objection must be served before the earlier of the time specified for compliance or 14 days after the subpoena is served. If an objection is made, the following rules apply: (i) At any time, on notice to the commanded person, the serving party may move the issuing court for an order compelling production or inspection. (ii) These acts may be required only as directed in the order, and the order must protect a person who is neither a party nor a party's officer from significant expense resulting from compliance. (3) Quashing or Modifying a Subpoena. (A) When Required. On timely mo...
NOT A CERTIFIED COPY UNITED STATES DISTRICT COURT SOUTHERN DISTRICT OF FLORIDA CASE NO. 08-CIV -MARRA/JOHNSON· JANE DOE, Plaintiff, vs. JEFFREY EPSTEIN, Defendant. ---------------'' NOTICE OF TAKING VIDEOTAPED DEPOSITION PLEASE TAKE NOTICE that the Plaintiff, JANE DOE, will take the deposition of Jean Luc Bruhel on Tuesday, September 22, 2009, at 10:00 a.m., at: Esquire Court Reporters One Penn Plaza Suite 4715 New York, NY 10119 The deposition shall be conducted pursuant to the Florida Rules of Civil Procedure and shall continue day to day, weekends and holidays excepted, until completed. I HEREBY CERTIFY that a true and correct copy of the foregoing has been served by U.S. Mail and email transmission this/ /~ay of August, 2009 to all those on the attached SeJVice List. 1
NOT A CERTIFIED COPY cc: Esquire Court Reporters ROTHSTEIN ROSENFELDT ADLER Attorneys for Plaintiff 401 East Las Olas Blvd., Suite 1650 Fort Lauderdale. Florida 33301 Tel: (954) 522-3456 Fax: (954) 527-8663 Email: bedwards@rra-law.com By:~--=.:::~ BRAD EDWARDS, ESQ. Florida Bar No.: 542075
NOT A CERTIFIED COPY AO 81!A (Rev. 01/09) Subpoena to Te:itify at a Deposition or to Produce Documents in a Civil Action UNITED STATES DISTRICT COURT JANE DOE Plaintiff V. JEFFREY EPSTEIN Defendant for the Southern District of Florida ) ) ) ) ) ) Civil Action No. 08-90893CIV-MARRA/JOHNSO (ff the action is pending in another district, state where: SUBPOENA TO TESTIFY AT A DEPOSITION OR TO PRODUCE DOCUMENTS IN A CIVIL ACTION To: Jean Luc Bruhel, 301 E. 66th Street, New York, NY if Testimony: YOU ARE COMMANDED to appear at the time, date, and place set forth below to testify at a deposition to be taken in this civil action. If you aTe an organization that is not a party in this case, you must designate one or more officers, directors, or managing agents, or designate other persons who consent to testify on youT behalf about the folJowing matters, or those set forth in an attachment: Place: Esquire Court Reporters, One Penn Plaza Suite 4715, New York, NY Date and Time: 09/22/2009 10:00 am The deposition will be recorded by this method: _____________________ _ 0 Production: You, or your representatives, must also bring with you to the deposition the following documents, electronically stored information, or objects, and pennit their inspection, copying, testing, or sampJing of the material: The provisions of Fed. R. Civ. P. 45( c), relating to your protection as a person subject to a subpoena, and Rule 45 ( d) and ( e ), relating to your duty to respond to this subpoena and the potential consequences of not doing so, are attached. Date: CLERK OF COURT OR Signature of Cleric or Deputy Clerk Attorney's signarure The name, address, e-mail, and telephone number of the attorney representing (name of party) ------------------------~~ , who issues or requests this subpoena, are: Brad Edwards, Esq., Rothstein Rosenfeldt Adler, 401 E. Las Olas Blvd., Suite 1650, Fort Lauderdale, Florida 33301 Bedwards@rra-law.com. (954) 522 2346
NOT A CERTIFIED COPY AO BSA (Rev. 01/09) Subpoena to Testify at a Deposition or to Produce Docwnenls in a Civil Action (Page 2} Civil Action No. 08-90893CIV•MARRNJOHNSO PROOF OF SERVICE (This section should not be filed with the court unless required by Fed. R. Civ. P. 45.) This subpoena for (name of individual and title, if any) was received by me on (date) 0 I personally served the subpoena on the individual at (place) on (date) ; or ----------------------- ------- 0 I left the subpoena at the individual's residence or usual place of abode with (name) , a person of suitable age and discretion who resides there, ------------------ 0 n (date) , and mailed a copy to the individual's last known address; or --~----- 0 I served the subpoena on (name of individual) , who is designated by law to accept service of process on behalf of (110me of organization) on (date) 0 I returned the subpoena unexecuted because 0 Other (specifY): ; or Unless the subpoena was issued on behalf of the United States, or one of its officers or agents, I have also tendered to the witness fees for one day's attendance, and the mileage allowed by law. in the amowit of $ My fees are$ for travel and $ for services, for a total of$ 0.00 I declare under penalty of perjury that this information is true. Date: &nzer 's signature Printed n4111e and title Server's address Additional information regarding attempted service, etc: ; or
NOT A CERTIFIED COPY AO SSA (Rev. 01/09) Subpoena to Testify at a Deposition orto Produce Documents in a Civil Action (Page 3) Federal Rule of Civil Procedure 45 (c), (d), and (e) (Effective 12/1/07) (c) Pflltecting a Person Subject to a Subpoena. (l) Avoiding Undue Burde,i or Expense; Sanctions. A party or attorney responsible for issuing and servmg a subpoena must take reasonable steps to avoid imposing undue burden or expense on a person subject to the subpoena. The issuing court must enforce this duty and impose an appropriate sanction - which may include lost earnings and reasonable attorney's fees~ on a party or attorney who fails to comply. (l) Command to Produce Materials or Permit lnspeetlon. (A) Appearance Not Required. A person commanded to produce documents, electronically stored information, or tangible things, or to permit the inspection of premises, need not appear in person at the place of production or inspection unless also commanded to appear for a deposition, hearing, or trial. (B) Objections. A person commended to produce documents or tangible things or to permit inspection may serve on the party or attorney designated in the subpoena a written objection lo inspecting, copying, testing or sampling any or all of the materials or to inspecting the premises - or to producing electronically stored information in the form or forms requested. The objection must be served before the earlier of the time specified for compliance or 14 days after the subpoena is served. lfan objection is made, the following rules apply: (i) At any time, on notice to the commanded person, the serving party may move the issuing c!)urt for an order compelling production or inspection. (ll) These acts may be required only as directed in the order, and the order must protect a person who is neither a party nor a party's officer from signific1t11t expense resulting ftom compliance. (3) Quashing or Modifying a Subpoena. (A) Wlten Required. On time...
NOT A CERTIFIED COPY UNITED STATES DISTRICT COURT SOUTHERN DISTRICT OF FLORIDA CASE NO. 08-CIV -MARRA/JOHNSON JANE DOE, Plaintiff, vs. JEFFREY EPSTEIN, Defendant. --------------....J' Re - NOTICE OFT AKING VIDEOTAPED DEPOSITION PLEASE TAKE NOTICE that the Plaintiff, JANE DOE, wlll take the deposition of .Ghislane Noelle Maxwell on Wednesday, September 23, 2009, at 10:00 a.m., • at: EsQuire Court Reporters One Penn Plaza Suite 4715 New York, NY 10119 The deposition shall be conducted pursuant to the Florida Rules of Civil Procedure and shall continue day to day, weekends and holidays excepted, until completed. I HEREBY CERTIFY that a true and correct copy of the foregoing has been served by U.S. Mail and email transmission this / / J¾ay of August, 2009 to all those on the attached Service List. 1
NOT A CERTIFIED COPY
cc:
Esquire Court Reporters
ROTHSTEIN ROSENFELDT ADLER
Attorneys for Plaintiff
401 East Las Oles Blvd., Suite 1650
Fort Lauderdale, Florida 33301
Tel: (954) 522-3456
Fax: {954) 527-8663
Email: bedwards@rra-law.com
NOT A CERTIFIED COPY 09-22785 Robert D. Critton, Jr., Esq. BURMAN, CRITTON, BT AL. 515 North Flagler Drive, Suite 400 West Palm Beach, FL 33401 09-,22785 Jay Howell & Assoc., 644 Cesery Boulevard, Suite 250, Jacksonville, FL 32211 09-22785 Jack Alan Goldberger, Esq., Atterbury Goldberger et al., 250 Australian Ave. South, Suite 1400, West Palm ~each. FL 33401. 09-22785 Paul G. Cassell, Esq. 382 South 1400 E Room 101 Salt Lake Girty, UT 84112 09"22785 Service List Jack Alan Goldberger, Esq. Atterbury, Goldberger & Weiss, P.A. 250 Austrailian Avenue South Suite 1400 West Palm Beach, FL33401-5012 1 :._• '· ....... ,, I.: •
NOT A CERTIFIED COPY UNITED STATES DISTRICT COURT SOUTHERN DISTRICT OF FLORIDA CASE NO. 08-80893CIV -MARRA/JOHNSON JANE DOE, Plaintiff, vs. JEFFREY EPSTEIN, • Defendant. -----------------:' Re-NOTICE OF TAKING VIDEOTAPED DEPOSITION PLEASE TAKE NOTICE that the Plaintiff, JANE DOE, will take the deposition of Donald Trump on, September 24, 2009, at 11 :oo a.m., at: Esquire Court Reporters One Penn Plaza Suite 4715 New York, NY 10119 The deposition shall be conducted pursuant to the Florida Rules of Civil Procedure I and shall continue day to day, weekends and holidays excepted, until completed. I HEREBY CERTIFY that a true and correct copy of the foregoing has been served by U.S. Mail and email transmission this 2-f day of August, 2009 to all those on the attached Service List. oY
NOT A CERTIFIED COPY cc: Esquire Court Reports ROTHSTEIN ROSENFELDT ADLER Attorneys for Plaintiff 401 East Las Olas Blvd. 1 Suite 1_650 Fort Lauderdale, Florida 33301 Tel: (954) 522-3456 Fax: (954) 527-8663 Email: bedwards@rra-law.com By:~ BRAD EDWARDS, ESQ. Florida Bar No.: 542075
NOT A CERTIFIED COPY UNITED STATES DISTRICT COURT SOUTHERN DISTRICT OF FLORIDA CASE NO. 08-CfV -MARRNJOHNSON JANE DOE, Plaintiff, VS. JEFFREY EPSTEIN, Defendant. ______________ ___:! Re- NOTICE OF TAKING VIDEOTAPED DEPOSITION PLEASE TAKE NOTICE that the Plaintiff, JANE DOE, will take the deposition of Sarah Kellen on October 19, 2009, at 10:00 a.m., at: Esquire Court Reporters One Penn Plaza Suite 4715 New York, NY 10119 The deposition shall be.conducted pursuant to the Federal Rules of Civil Procedure and shall continue day to day, weekends and holidays excepted, until completed. I HEREBY CERTIFY that a true and correct copy of the foregoing has been served by U.S. Mail and email transmission this l day of September, 2009 to all those on the attached Service List.
NOT A CERTIFIED COPY
cc:
Esquire Court Reporters
ROTHSTEIN ROSENFELDT: ADLER
Attorneys for Plaintiff
401 East Las Olas Blvd., Suite 1650
Fort Lauderdale, Florida 33301
Tel: (954) 522.:.3~56
Fax: (954{527-8663
Email: bedwards@rra-law.com
/
•
\
;
.. /
l
/ /L--- /;
l .. ,•··, ~;:.<--~---· ,~Sl-4 l .A,,·
By:
~·
l~'
BRAD EDWARDS, ESQ.
Florida Bar No.: 542075
NOT A CERTIFIED COPY 09-22785 Robert D. Critton, Jr., Esq. BURMAN, CRITTON, ET AL. 515 North Flagler Drive, Suite 400 West Palm Beach, FL 33401 09-22785 Jay Howell & Assoc., 644 Cesery Boulevard, Suite 250, Jacksonville, FL 32211 09-22785 Jack Alan Goldberger, Esq., Service List Atterbury Goldberger et al., . .:- 250 Australian Ave. South, Suite 1400, West Palm Beach, FL 33401. 09-22785 Paul G. Cassell, Esq. 382 South 1400 E Room 101 Salt Lake Cirty, UT 84112 09-22785 Jack Alan Goldberger, Esq. Atterbury, Goldberger & Weiss, P.A. 250 Austrailian Avenue South Suite 1400 West Palm Beach, FL33401-5012
NOT A CERTIFIED COPY •• ". · UNITED.STATESDrSTRICT COURT SOUTHERN D_ISTRICT OF FLORIDA • CASE-NO; 08-CIV ~MARRA/JOHNSON JAN"EDOE, ·-Plain~iff. vs; • JEFFREY E:PSTEIN, Defendant. .I Re- NOTICE OF TAKINGVIDEOTAPED DEPOSITION '· PLEASE-TAKE NOTICE that the" Plaintiff, JANE DOE; wiH take the ·deposition of . . ~ . . . ' . . . . . . • • ' •, Nadia 1Marcink-ova on ,October 20,: 2009., at 1-0:O0 a~m., at: • .Esqtd;e Court Reporters One Penn .Plaza -: 'Suit&.4715·, .· .·_·•- · · New-York/ftJY 1011·9 . · · T~e-~ep.0$1tion sha;II :be conductedJ>Ul"$Uant t~" the Federal Ru~es of C1viLProced~re : and shall continue day t~ day, weekends and ·holidays excepted, until completed .• • . ' . . • . . . . . . -. ~ . . . . . . . . . • ' . . , •• : • .•. ·:. -I ·HERE.BY CERTIF.Ythaf atrue a~d correct copy-of the foregoing ha~ been served . . . -· . ... . . . . . - , ... • • .',by ·u;s. M~il:·a~'.d em~ilttansmission .this~-day of ~eptember, 2009 to all those on the • ' "¾ , • • • • ·_ attached Service. List. 1
NOT A CERTIFIED COPY cc: . . !;:squire Court Reporters • ROTHSTEIN· ROSENFELDT ADLER Attorneys for Plaintiff • 401 Eastlas Olas Blvd., Suite 1650 .· , Fort L~uderdale, Florida 33301 .Tel: (954)522-3456. Fax: (954) 527-8663 • . • Eriiail: bed~~'j•@:J;·com L' 1/----· " I' .,.,. -.J~Yl t_ -;teJ,-,- By: ___________ _ • BRAD .EDWARDS, ESQ . . Florida Bar No.: 542075
NOT A CERTIFIED COPY UNITED STATES DISTRICT COURT SOUTHERN DISTRICT OF FLORIDA CASE NO. 08-CIV -MARRA/JOHNSON JANE DOE, Plaintiff, VS. JEFFREY EPSTEIN, Defendant. _____________ __:, Re - NOTICE OF TAKING VIDEOTAPl:D DEPOSITION PLEASE TAKE NOTICE that the Plaintiff, JANE DOE, will take the deposition of Ghislane Noelle Maxwell on October 26, 2009, at 10:00 a.m., at: Esquire Court Reporters One Penn Plaza Suite 4715 New York, NY 10119 The deposition shall be conducted pursuant to the Florida Rules of Civil Procedure and shall continue day to day, weekends and holidays excepted, until completed. I HEREBY CERTIFY that a true and correct copy of the foregoing has been served by U.S. Maii and email transmission this ~ay of October, 2009 to all those on the attached Service List. 1
NOT A CERTIFIED COPY cc: Esquire Court Reporters· ROTHSTEIN ROSENFELDT ADLER Attorneys for Plaintiff 401 East Las Olas Blvd., Suite 1650 Fort Lauderdale, Florida 33301 Tel-: (954) 522-3456 Fax: (954) 527-8663 · Email: bedwards@rra-law.com By:~~ BRAD EDWARDS, ESQ. Florida Bar No.: 542075
NOT A CERTIFIED COPY CASE NO: 08-CV-80119-MARRA/JOHNSON CERTIFICATE OF SERVICE SERVICE LIST Jane Doe v. Jeffrey Epstein United States District Court. Southern District of Florida Jack Alan Goldberger, Esq. Jgoldberger@agwpa.com Robert D. Critton, Esq. rcritton@bclclaw.com Isidro Manual Garcia isidrogarcia@bellsouth.net Jack Patrick Hill iph@searcylaw.com Katherine Warthen Ezelt KEzell@oodhurst.com Michf.lel. James Pike MPike@bclclaw.com Paul G. Cassell cassellp@bclclaw.com Richard Horace Willits , lawyerswillits@aol.com Robert C. Josefsberg rjosefsberg@.godhurst.com Adam D. Horowitz ahorowitt@sexabuseattomey.com Stuart S. Mermelstein ssm@sexabuseattomey.com William J. Berger wberger@rra-law.com 8
NOT A CERTIFIED COPY
AO &IA· (Re,,, 01/0SI) Sullpoa lO Tgjfy ltl ~Dtlorto Produoll ~
Ina CMI Action
UNITED STATES DISTRICT COURT
for the
Southern District of New York
Jana Doe
Pkl/nttf/
v.
Jeffrey Epstein
)
)
)
)
}
-)
Civil Action No. 08-80893 CIV--MARRA
{lftllo action ispcndlns In llllotbcrdwrii:t,lta~ where:
Southern Di&trl.ct of Florida
SUBPOENA TO TESTIFY AT A DEPOSITION
OR TO PRODUCI!: DOCUMENTS IN A CIVIL ACTION
To: Ghlsland No811e Maxwell, 116 East65 LLI., New York, NY
sf Testimony: YOU ARE COMMANDED to appear at the time, date, and place set forth below to testify at a
deposition to be taken in this civil action. If you are nn organmtion that is not a party in this~ you must designate
one or more officers, directors, or managing ag~, or designate o1ber persons who consent to testify on your behalf
about 1be foUowing matters, or those set forth in an attachment:
Place: EaqUlre Court Reporters, One Penn Plata
Suite 4715, New York, NY
Date and Time:
10/26/200910:00 am
The deposition will be reoorded by this method: __________________ _
fl Production; You, or your representatives. must also bring with you to the deposition the following documents.
electronically stored infonnation, or objeot.s, and pennlt their inspection, copying,, testing. or sampling of the
material:
See Schedule A attached
The provisions of Fed. R. Civ, P. 4S( c}, relating to your protection as a person subject to a subpoena, and Rule
4S (d) and (e), relating to your duty to respond to this subpoena end the potential consequences of not doing so, arc
Dttached.
Date:
09/21/2009
CLERK OF COURT
'S{jniiliirio]"Clirk or1Npidy 1:li"ff •
The name, uddress, o-mall, and telephone number of the attorney represe ng (11WM of party)
______________________ , who issues or requests this subpoena, are:
Brad Edwards, Esq., Rothstein ROS8flfeldt Adler, 401 E. Las Oles Blvd., Suite 1650, Fort Lauderdale, Florida 33301
Bedwards@rra-law.com. (954) 522 2346
NOT A CERTIFIED COPY AO 8&A (Rff. Wot) Subpolm ta~ tt a Oepo,!don or to Produce l)OOllfflfflls Ina CMI M1kin (Pqe 2) Civil Action No. 08«>893 CIV-MARRA PROOF OF SERVICE (Thia Reflor, should not be fllul wltl, the court unless required by Fed, R. Chi. P. 45.) This subpoena for (nonu Qjlndi,ldwl and tlll,. ii any) was received by me on (dou) ------ □ I personally served the subpoena on the individual at (p/Qt¥) on (dais) ; ot -------------------- ____ ...,.__ __ tJ I left the subpoena at the individual's residence or usual place of abode with (l!Rllfe) , a person of suitable age and discretion who resides there. ---------------- on (d,1t11) , and mailed a copy to the individual's last known address: or ---~-- ti I served the subpoena on (name of lndMdilill) , who is designated by law to accept service of process on behalf of(-, of ortJQn/z.(lllon) on(dcm) ; or ------------------~- ------- □ I returned the subpoena unexecuted because ti Other (lpcic(fj,): ----------------- Unless the subpoena was issued on behalf of the United States, or one of its officers or agents, I have also tendered to the witness fees for one day's attendance, and the mileage allowed by la.w, ln the amount of $ My fees mo$ fur travel and S for ~erviccs, for a total of$ 0.00 ; or ------ ----- ----- I declare under penalty of perjury that this infonnation is true. Date: Server's &ignatun Additional infonnation regarding attempted service. etc;
NOT A CERTIFIED COPY
AOIIA (Rev. OIID9)Sttbpocoa toTeal~ •nDepost\iQil o,IO Pn14ute ~tiln1Chil Acllon(Papl)
Federal Rale oretvn Procedure ◄5 (c), (d), and (e) (Etrec:thci 12/1/07)
(c) l"rotecdag a Pel'IOD SUbject to a Subpoena.
(1) Avt>ldln, VrllR, BIUdt!ta or l!Jq,Mu; Sm,ctton,. A party or
llltOmey responsfblo for muina llnd serving a subpoena must tall:11
reuoflable stepS to avoid Imposing undue burden or c:;tpcnso on a
person subjeot to lhc aubpocna. The lmiing cowi must onforco tb1s
dufy and lmpo80 an~
sanction -which may liduck lost
earolnp tllld rcuonable attorney's fees- oo a party or attorney
who fails to comply.
(2) COltONIIUI to~ Materillb or Pmnlt lnsped/M&.
(A) App«artll'IOI Not R«qiund. A p«son commeruled to produce
documents, clectronic:ally stored Information, or tangible things, or
10 permit tho Inspection of'prcmlaes, n«Jd not appear In porson at the
pltwc of production or Inspection 1111less also OOflllllllDded to appear
fur a depos.itlon. hearing, or trial.
(B) ObJecttoM. A person commanded to produco dowmcnta or
tangible things or to permit Inspection may servo on aw, pcty or
aitomoy dcsJgnak:d In lbc subpoena I written objection to
lnspcctlng. copying. testing 01' sampling any or all oflhe materials or
to Inspecting Uto J)RlhliBaa-or to prodl.J11ing elcaronlcally stored
information ill tho fonn or forms l'dqlleaited. Tho objection must be
served before the earlier of tho time specified for compliance or 14
days a&r tho subpoena Ja smcd, If an objection ls made. tho
following rules apply:
{I) At my time. on notil:8 to the wmmandcd pefSO!l. tho serving
party may move lhc Issuing court for 1111 order oompelling pi'oducdon
or l.nspcction.
(U) These acts may be required only as direacd in tho onicr, 811d
tho order must protect a person who Is noithcr a party nor a party's
officar from significant~ reswting ttom compliance.
(3) a,,aw,., or Madffilltg a~
(A) Whan &qvhd. On timc:ly motion, the issuing t:Ourt must
qulllh...
NOT A CERTIFIED COPY Schedule "A" to the Subpoena Duces Tecum of Ghlslane Maxwell A list of ill girls that Defendant, Epstein, had at his house at 358 El BriUo Way for any reason at any time, including guests and masseuses for the entire duration when you worked with or for Jeffrey Epstein. A list of .@I! girls that Defendant, Epstein, had at his house in Manhattan for any reason at any time, Including guests and masseuses for the entire duration when you worked with or for Jeffrey Epstein. Any and a!I documents that reflect scheduling and/or appointments for Epstein's flights, travels, accommodation, massages or meetings for the entire duration when you worked with or for Jeffrey Epstein. , A complete list of all girts whom you know to have flown in any of Defendant, Epstein's airplanes or jets at anytime during the time you worked with or for Jeffrey Epstein. Any and all diaries and/or notes and/or logs that In any way relate to Deiendant Epstein, his airplanes, his properties, his assets and/or his finances.
NOT A CERTIFIED COPY AO HA (Rn. 01109) ~ b> Testily Ill a ~orlOPmdoce Doclllnmls Ina Civil Aciioa v. UNITED STAIBS DISTRICT COURT fortbe Southern District of New York Civil Action No. 0&-80893 CN-MARRA Jeffrey Epstein ) ) ) ) ) ) (If the action is pending in another district. state where: Southern District of Florida SUBPOENA TO TESTIFY AT A DEPOSmON OR TO PRODUCE DOCUMENTS IN A CIVIL ACl10N To: .Ghlsland Noelle Maxwell, 116 East 65 LLL, New York, NY -fl Testimony: YOU ARE COMM.ANDED to appear at the tinu; date, and place set forth below to testify at a deposition to be taken in this civil action. If you are an organization that is not a party in this case. you must designate one or more officers, directors, or managine agents, or designate_ 9ther persons who conseni to 1eStify on your behalf about the folJowing matters, or those set forth in an attachment:·. Place: Esquire Court Reporters, One Penn Plaza Suite 4715, New York. NY Date and Tiroe: . 1012612009 10:00 am The deposition will be recorded by this method: ___________________ _ ti/ Production: You, or your representatives, must also bring with you to the deposition the following docmnents, electronically stored infonnation, or objects, and pennit their inspection, copying, testing, or sampling of the material: See Schedule A attached The provisions ofFed. :Jl. Civ. P. 45(c), relating to your protection as a person subject to a subpoena, and Rule 45 (d) and ( e). relating to your duty ro respond to this subpoena and the potential consequences of not doing so, are attached. Date: 09/.21/2009 CLERK OFCOURI' • • • • Sigiiiiiw-e' a/Clerk or lJepiit.y cteii • Tho name, address, e-mail, and telephone number of the attorney rep -:::---------~-~~-~~-------, who issues or requests this subpoena, are: Brad Edwards, Esq., Rothstein Rosenfeldt Adler, 401 E. Las Clas Blvd., Suite 1650, Fort Lauderdale, Florida 33301 Bedwards@rra-law.com. (954) 522 2346 \J
NOT A CERTIFIED COPY < ... -. AO SSA (Rev. 01/09) Subpoena to Tutify at ti Ooposilion ur to Prod11Cc Docum;nts in ll Civil Aclion UNITED STATES DISTRICT COURT for the Central District of California Jane Doe Plaimijf v. ) ) ) ) ) ) CjviJ Action No. 0S-80893CIV-MARRA/JOHNSO Jeffrey Epstein (lf lhe action is pending in another district, state where: Defendant Southern District of Florida SUBPOENA TO TESTIFY AT A DEPOSITION OR TO PRODUCE DOCUMENTS IN A CIVIL ACTION To: Michael Freidman, 53320 Avenida Madero, La Quinta, CA 92253 iii Testimony: YOU ARE COMMANDED to appear at the time, date, and place set fo1th below to testify at a deposition to be taken in this civil action. lfyou are an organization that is not a party in this case, you roust designate one or more officers, directors, or managing agents, or designate other persons who consent to testify on your bebalf about the following matters, or those set forth in an attachment: Place: Farewell Court Reporters Date and Time: 50505 Spyglass Hllf Dr, La Quinta, CA 11/19/2009 10:00 The deposition will be recorded by this method: _Q""""o,.,u,..rt_,_R...,e""p..,,o'-'-rt,.,,ec1..r~. ________________ _ 0 Production: You, or your representatives, must also bring with you to the deposition the following documents, electronically stored information, or objects, and permit their inspection, copying, testing, or sampling of the material: The provisions ofFed. R. Civ. P. 45(c), re1ating to your protection as a person subject to a subpoena, and Rule :jl,5 (d) and (e), relating to your duty to respond to this subpoena and the pptential consequences of not dojng so, are attached. • Date: 10/22/2009 CLERK OF COURT i~."rr(-4 OR Signc,ruNI of Clerk or Deputy Cl~r-k The name, address, e-mail, and telephone nwnber of the attorney representing (name of party) Jane Doe r-=~==~~!!Sa,,,,_ ____ ~ _ __:__~----------- , who issues or requests this subpoena, are: Brad Edwards othstein Rosenfeldt ...
NOT A CERTIFIED COPY AO &"ilA. (R"v. 01/fl'I) S1,bpoem110 "l'eslify llt a. De~itio<\ ortu Pl"Qdocc Oo,;umcms in aCivH Aciion UNITED STATES DISTRICT COURT Jane Doe Plainriff v. Jeffrey Epstein Defendant for the Centrnl District of California ) ) ) ) ) ) Civil Action No. 08-80893CIV-MARRNJOHNSO (Jfthe action is pending iu another district, state where: Southem-District of Florida SUBPOENA TO TESTIFY AT A DE.POSITION OR TO PRODUCE DOCUMENTS IN A CIVIL ACTION To: Rosalie Freidman, 53320 Avenida Madero, La Quinta, CA 92253 0 Te.rtimony: YOU ARE COMMANDED to appear at the time, d~te, and place set forth below to testify at a deposition to be taken in th.is civil action. If you are an organization that is not a party in this case, you must designate one or iuore officers, directors, or managing agents, or designate other persons who consent to testify on your behalf about the following matters, or those set forth in an attachment; fPiace; I Farewell Court Reporters 50505 Spyglass Hill Dr, La Quinta, CA Date and Time; 11/19/2009 10:00 I L-·------------------------'----------------------' The deposition will be recorded by this method: .....QQu"'-'rt.,,_,_R,..,e<i<p,.,.,oLlrt...,.e.._r _________________ _ 0 Production; You, or your representatives, must also bring with you to the deposition the following documents, electronically stored infonnation, or objects, and permit their inspection, copying, testing, or sampling of the materiul: The provisions of Fed. R. Civ. P. 45(c), relating to your protection as,a person subject to a subpoena, and Rule 45 ( d) and (e), relating 1o your duty to respond to this subpoena and the P.otential consequences of not doing so, are attached. Date: 10/22/2009 CLERK OF COURT i';;l'r· S;gnature. of Clerk or Deputy Clerk The name, address, e-mail, and telephone number of the attorney representing (name of party) Jane Doe ---:--:-:~---·-------------------- , who issues or requests this subpoena, are: ...
NOT A CERTIFIED COPY
AO SSA Ol\W, 01/09) Sobpocna kl Tostlfy Ill a Dccositioo or to P{OQllCe Doculiltlllll 1n a Ovit Action
UN,ITED STATESDIST~T CO~T
Ja:10 Doe
Pkttnti/f
Y.
fortne
.,
Centtal District of Califonua
Civil Action No. 08-80893CIV~MARRA/JOHNSO
Jeffrey Epstein
)
)
)
)
)
)
(If Ille action is ptmding m lll!Olber distnct, sta.t& where:
• Southern Distdct of Florida
.•
,!·
• '
Sl1Bl'OENA T.O TESTIFY AT A OJ.POSITION
OR TO P~ODUCE D9'CIJME~~ IN A ;ciy.IL ACTl~N
To: Mictiael 8anka, 449 South Beverly Dr:ve. Suite #101, Beverly Hills, Ca 92253
.,
.
.
.
;I T~mnony; YOU .ARE COMMA.i.'"I>ED to appear at ':he time, ~
anll place 11et forth below to testify at a
depositi~ to be taken in this civil action. If you. ani au m:ganizat'ton that-is not a party in this case, you must c:lestgna1e
one or more officers, directors, or managing agents, or designate otherpetsons Who consent to testify on your behalf
aMut the following matters. or those S\':t forth in an attachm~t:
P'.ace: 433 North Camden Drive, 4th floor, Beverly HIiis, Fl
90210
·na.te and Time:
11/19/200910:00
The d.epOllition will be recorded by 'th~~ ...:C,..,0..,1 ... irt ...
Bu.i_e"'"pq<!,!_ :u~¥1r_· ·---------------
CJ Production; You, or your representat.t ves, must-also bring with ty9u_ to lhe deposition the fo llowmg documents,
c.lectronically stored infOllllati.qn, or objects, anCI permit tlleir inspoction, copyjng, testing. or sampling of the
matenat·
•
The provisions of Feet. R. Civ. P. 4-S(t"j; rel~ting ti> yohr p'ri,'~Bk & ~ person subject to a subpoena, anri Ruic:
45 (d) and (e), relating to your duty to tespo'nd to·ftlh subpoen'a en'd tbb ~tat consequeaces of not doing so, are
attached,
...
Date:
10/22./2009
_c_fj;_ERK_o_;p-_c_o_UR_r _____ oR~
Stp11m '!f' er Uk OI' Depi1ty Clruw
Atior~y ~ srg,,arure
The name. address. e>-mail. and teli,phOne numbe:r of the attorney repres~nting (name qf parryj
Jane Doe
~----------------------, w110 issues or reques...
NOT A CERTIFIED COPY
AO SIA (Rev. 0\/09) Subpoena :o T~llfv M I Deposition or 10 l'ro:!llce Doclll1':en~ IR ii Civil Mt1on {Page 3}
Federal Rule of Civil Procedure 4S {c)1 (d), lllld (e) (Effective 12/1/07) .
(c) Protecting I P.ersoo. Subject 10 • SUbpeena.
( J) A voJdlng Valhle .Buraeu or Expa,uH: SlfflctifHfll. A party or
attorney responsible tor isSuing and Stirvmg a subpoena must ta.'(.~
reasonable stCJJI to IIVQld uniiosmg ww.oo burclen or exDcnse on a
i:,ei-!ilOII subject to tne SubJ>oena. The 1!16uSng court mllSt enforce thls
auty aod imoosc an 11pprot1rtate S3.11ction -
whJcb may lOOluoe 1os1
eammgs ana reasonable attorney ·s fees- on a llinY or attomey
wllo fails to comply.
(2) Cl1111""'1fd ti> Pt""1la MaterUlu or Permit 111$J1«Uon.
(A) Appearance Not R.eqrwed. A person comman11c:<:. to P1od11ce
documents, electromcally stored informatiQn, or- ta.,gible tltill&$, or
to timnJt Ille inspection of -premises., neeo not appear m 1>c:r:H,11 at UJc
pl4co of promretIon or msi:,ectioo unless also commanded 10 appeal'
for 11 doposition, hearing. or 1rtal.
-
(B) Obi~IIOl'IS, A pi:rson commanoeo to produ~ CIOCuments or
tangible things or to l>Cmtit Inspection may serve on tile party or
attorney £tesrgnaled in tile subPoena a wrlucn objecuon to
1~g. o~pytng. tesbng or :iamJ)lin,g 11ny or all of the mater1a1S or
to Impecting tbe ptemJS{!.S -
« to prO<IUcmg eJcctromcally slorcd
mfotmat1O11 i:n the form or fonns reQuestcd. Theobjccuon must be
served bef~ tnc earlier o:lhc time spcoirtcd for wmpliancr: or 14
Cla)'s 8ftcr lite sutii,aena ts served. If an objection 1s mace. the
follOWJng rules npply:
(i) At :my tune, on nc,t1co to thC commanded person, the; ,crvmg
party may move tne 1SSumg court for an oreler compelling productlOll
or 1nspecfion.
(lt) '11»!!0 ■clS may be required only as directed in the ord11r. lllld
I.he order mu&t protect a tiers on who 1$ nci L'xtr a PIU1)' nor a pa.rt),'"S
:;ifficer from significant expense n:-sulling from co...
NOT A CERTIFIED COPY
AO AA {JlAv. OJ,(19) Sul,DOC111 10 T~1tl!Y QI a 0el)ll:liti0l'I or lo Prodllce Doeurnenls 1 ■ a Civil Act10n (Pegn 2!
CMl Action No. 06-80893CIV-MARRNJOHNSO
l'llOOF OF SERVJCE
(This mctwn should not be filed with the court unless requrred by fl'etJ. R. Cfv, P. 15.)
This subpoena for (nan,e c,j frtdivid«al and Jilk, if any}
wns received by me on (dote) ------
0 l personally served the subpoena on the individual al (piace)
----------------~-----
on (do10)
0 1 left me subpoena at the individual's residern:e or usual place of atiMe with fnmne.)
; or
, a person of suitable age and discretion who resides there.
on ("4«)
, and in ailed a copy to the Individual's. {as1 known address; or
-------
□ l served the SUITpoena. on (1,<1111~ of individurd) •
, who is
designated by law to accept service of process on behalf of {nameqforgamzotJOII)
on (du1e)
□ l returned the subpoena unexecuted becmnc
CJ Other (JPU'fh):
Unless Ille subpoena was issued on behalf of the Untced States) or one ofi1s officers or agents, 1 have also
tendered to the witness fees for one day's attendance., arid the mileage allowed by !aw, in the amount of
s
My fees are$
for travel and $
for services, for a total of$
0.00
I <Leclare under penalty of ix:1j ury that this information Is true.
Date:
Ser,u ·.r signature
Senier·s add,yJ$
Additional information regarding attempted servioe1 etc:
;or
NOT A CERTIFIED COPY ... ,. , ... Plalntiffi JN· -THE CIRCUIT COURT OF THE FIPTEENTH JUDICl:Al, ClRCUfON AND FOR PAtM:BEACH ~ouNTY fLORIOA V ' . .. Complex Utlgatlon, Fla.- R. CJv. Pro, 1.201 CASENO. . on, (-1 f'.\'1\IVVUB 50 2009.Cl,O . .h 't} •. } U.AMA-i'l •• • SCOT:J ~OTH~TEIN,. individually., BRA"Ql.E;¥ J. :Ef)WAAOSi ·tndMdually, and L.M-1 fndivldUaUy:, CO'PY REOt'\VEO FOR. FlUNG -•• D£G D-.1 itM Uef41i$lnts. ~ -------------------....... ~-...,.,, !;_QMPJ.t~ Plaln,flff, JE:FFREY EPSTEIN, (hereinafter nEPSTEIN"t· by and through his • ul'\derstgned: attomQys, flies this action against D.efendants, SCOTT ROTHSTEtN. tl-\divldua'lly.; :BRADLEY J. EOWARDS •. irtdlvldually, and L.M,, lodMdually. Aceordlngly, gPSTEIN states: ;S.YMM~Y O.F ACTIO.N Attorney Scott Rothstein a[ded by oth1;1r lawyers and employees at the firm of Rothstetn. Roo·enfeldt, and Adler, P.A. for personal greed and enrichment, in betrayal of th~ eth1cat legal and 'fiduciary ~uties to· their own ellent~ and professional obligations lo the admirilstratlon of Justtce, deliberately engaged In a pattern of racketeering that cinvolved·a -staggering series of gravely serious obstructions of justice, actionable frauds, and \he orchestration and conducting of egregious civil lltlgatlon abuses that resulted in profoundly serious Injury to J_effrey Epstein Qne of several targets of their misconduct EXHIBIT 0 I I f 1 I. i: :-
NOT A CERTIFIED COPY Epstein V. RRA, -et al. .Page2 and others. Rothstein ·and RRA's fraud had no boundary. Rothstein and his co- conspirators fori;Jad Federal court orders and opinions. Amongst the violations of -law that are th~ subject cf this lawsuit-are :the marketing of non-.exlstentEpstein -~~ttlements ~nd the sanctioning -0f·a se~·ef depositions.that were m1related to any principled Uttgatft.>n purpose blilt instead designed 1o discover extraneous private info-rmatfon about _.Ep:st.ein or hJs-wrsona1 and bustl:ress ·as.soctates (including well-krtown public figures) In 1:>rder10,deftaud investors an.d s~pport exto,rtiohate demands for payment from Epstein. The ,misconduct featured· the filing- of tegaJ mot10ns and the purs1..1lt of- a cMI Utlgatlon strategy that wa~ unretated to ttie ,mertts-- or ,value ofiheir clients' cases and, instead, had -as Us improper purpose :the furthering of Roths.teln's misrepre~eli~tions and -deceit tt,-thlrd party Investors. As a result, EpsteJn was subject to abustve Investigatory tactics, unprlhclpled media attacks, and unsupportable legal filings. This lawsuit is filed and wm be Vigorou:sty pura-ued against all these defendants. The Hothsooln racketeering enterprise endeiavo·reo to ~friprcirribe'the oora varues of both state and federal Justice ·sy-$tems in South Frorida aiitHo,vlndlcaJe the hardworking and honest lawyers and their clteiits who were adversely affected by tha misconduct that is the subject of this Complaint. PlalAtiff resertes the right· to add additional defendants - co-conspirators as the facts and evidence is developed. GENERAL ALLEGATO.NS 1. This is an action for damages In excess of $15;000.00, exclusive costs, interest, and attorneys' fees, r I r ! i '-
NOT A CERTIFIED COPY
Ep~teln v. RAA,.etal.
,Page a
. 2. Pla{ritfff, ISPStSN, is c:fn adult and currently is residing and works in PaJm Beach
County, Florida.
3. Defendant, SCOTT ROTHSTEIN C'R0THSTEIN''), is an individual residing in
Broward County,- F=lortda, and was Ucensed to practice law in the State of Florida. Ill
-Nr.wem.ber'2009". ROT~St:EIN voliJhtarlly .r-atlnqufshed his law-license· In the,mtdst of the
:fmptt)sto.fr,of RQth:¢~in. Rosenfeldt .and, Adler; P.A. ("RRA"). ·He was dlsba1r.ed by the
Florida SlW-l"l)me Court on November 201 2009. On December 1. 20.09, ROTHSTEIN
·was arrested and amilgne<lln Federal Court In Broward county, Floiida.
4·. At atnlm~ reievanOreteto. ROTHSTEIN was the managing partner and-GEO cf
R~
• 5. · Defendant, ROTHSTE1N and Stuart Rosenfeldt. are and were 1he prinolpal
(jwne:rs of e:ep.iiiy:f.il RRA and -each co-founded-RRA.
6. Defendant, BRADLEY J. EDWARDS ("EDWAROS''). is an lndMdual re.siding In
Broward County~ ·Flor1da and is licensed to practice law tn the State of· F1onda. At all
limes- relevar,,t hereto,· EDWARDS was an employee, agent. associ~te. partner,
• sparehold er;, and/or otherreprcesentatlve of RRA.
7. Defendant, L.t"1. {"L.M.■Ji is an individual residing in Palm ,S~ach,County, Florida.
At aJI timel:i ralevant hereto, L.M. was represented by RRA, ROTHSTElN and
EDWARDS in a civU lawsuit against Epste1n and was an essential participant In the
scheme referenced infra bY~ among other things, substantlaUy changfng prior sworn
testimony, so- as to assist the Defendants in promotin~ their fraudulent scheme for the
i ,.
j.
j
NOT A CERTIFIED COPY
Epstein v. =Rr{A. et a_l.
Page4
·promise of a muflRnUilon oonar reoovery relative to the Civi\ Actions {defined· below)
lrwoMntfEi;P&teln, which was com1:lletely out of proportion to-her alleged d.:ttTiages.
8,.
Non.,par:ty .. R.RA Is a Florida Professlonal Ser.vice Corporation:, witl"l 1;1 __ princlpal
.a'ddi'es$ of 401 East Las Olas Blvd., Suite 1650, Fort Lauderdale, FL 3.3401:. ln,addftlon
to its J)tinclpal office, RRA also maintained seven offices In Florida, New York, ,arid
Veneati-ela~ arn:f'employed over70 attomeys and 200·support-staff. RRAalso maintains
a:ri,offi~ at tt09 Nt''2d ·Street, HaUendaie Beach, Fforlda ,33-0og..as1:5; RRA, through
Its -~tlbrnays, ·tncludlng those named as Defendants herein.' conducted· ·bustne,s
throughout. Flonda. and relevant to this action, conducted busftle~s and ffled 'lawsuits on
behalf cif clients ·tn Palm Beach County, Florida.
(RRA is currently a deb.tor In
:b.1;1:nkroptcy. RRA is not named as a Defendant).
FACTUAL ALLEGATIONS
·9. The United states In United States of Amert~a v., Scott W. Rothstein. Case No.
0~603StCR:.Cohr.i; United States District Court, Somhem -District of Floridai has
,brought an action for Racketeering Conspiracy, 18 U.S.C. § 1~o2(d) against Seqtt W.
Rothstein who was the chief executive officer and chairman of RRA.
Within the
lnmnnaHGn which was flied, the United States ofAmarlca has Identified the enterprjse
as belh!iJ lhe Jaw firm, RRA. through which Rothstein In conjunction with "his oo-
consplrators".' (not yet identified by the USA) engaged in the pattern of racketeering
through its base of operation at the offices of RRA from sometime In 2005 up through
and continuing iAto November of 2009. Through various criminal acfivltfes, lncludin~
mall fraud. wire fraud and money. laundering, the United States of America asserts that
! l
{
1 i i !
! !
I
!
J
~-
[.
I
f
NOT A CERTIFIED COPY Epste:m v.:RRA, et a:1 .. f'89'3 5 • Rothstein: iind his co-conspirators untawfuHy obtafned approximately $1.2 blllk>li from investors by ira·ud In connection with a Ponzi schet-na. The USA further alleges- that D:Rothstein and co-c:onspitators initiated the crlrrilnal oonduet alleged rn the Instant lnformatibn in order -ta pel'$0nally enrich thernselves and. to-supplement the Income and sus~n tJle dally operation· of R.RA. 11 In essence; In the· absen~ -of Rothstein ,and his ,co- col'lspiratofs cof.ldueting the Poazf scheme~ the .deliy-opt)'~tJori of RRA, Which im;Juded p~yroll (tompen$atlon to lawyers. staff, ainvestlgators., ~tc.), acoounts pa~bfe Jncluding unlimited lmpropeT, harassing and . potential_ illegal lrivesUgation on cases. =including Epsteln-:r-elated =matters, would in all llkeHhood would not have been $Ustair:mble. A copy of the fnrormattQn'is-attached as·Exh1bit 1 to=this,:action. ·10. As more fuUy set forth herein, RRA held· itself out a:s· legftimate!y and property engaging in the practice of taw. ln reality, ROTHSTEJN· and o1he:ra In RRA weFe -using RRA to market Investments, as described betowi so as to Mk investors-out ofhtlndreds of milflons of dollars. ROTHSTEf N and others in RRA· devised an elaborate plan through which were sold purported confidential assignments. of a structured pay-out settlements~ supposedly reached on behalf of RRA for clients, in exchange, for immediate payments to·these cHents of a discounted lump.sum a:roount Investors-were being promised lh excess of a 30% return on their Investment which was to be paid out to the investors over time. While some of the cases relled upon to Induce Investor funding were existing fifed ·cases, It Is believed that the confidential, structured pay-out settlements. were -all fabricated.
NOT A CERTIFIED COPY
Epst1:iln v. RRA, et al.
-Pages
11. Based on meai"a repons, Federaf Bureau of Investigation (FBI) pre·ss
conferences ancl re1e~~s and th~ ln.fonnatton th.e·.masslve Ponzi scheme and pattern of
crimfnal aotlvity me-~nt to fore investors.began sometime In 2005 arid continued.thrcu$h
t-hefaU of 2009,.when the schema was uncovered by some of the Investors and the FBI.
lw of .Nhvember of 2009,. -civn lawsuits were and cootinue to be filed against various
t)efendants·as. result t:>f their ·massfv.e.fraUilh,.llen1 .antJ r::rlmlnal schema.
12·. This fraudulent and llfegal lnvwttnent scheme ls .aJso evidenced by the filing <>f
Amended Comp/~int For DISSQ/utlon Al,d. For Emergency Ttan$fero( Cotporate Powers
to S-tua,t A. Rosenfeldt, Or, In The Altt111Jslive, For tlw Ap{JO/ntment:;of A- Gu:stodien er
Receiver by ROSENFELDT, aMd RRA, against ROTHSTEIN~ lndlvldually, {Case No. 09
059301, In the Circuit Court of the Seventeenth Judiclal Circuit, Broward County,
Florida, Complex Business Oh1.)\ (hereinafter •RJ~~ dissoluti~in .action, and attached
net~trras :Exbibit:2).
1·3. Pla1ntlff references the RRA dissolution action for the sole purpose that It
-ackAowledg!!s that RRA and ROTHSTEIN were in fact conducting an fllegat and
Improper investment. or Ponzi scheme based on promises· of· fihaliclal returns from
settlements or outcomes of supposed legal a.ctlons, Including the actions brought
against Plaintiff EPSTEIN.
The RRA dissolution action alleges In part that -
RROTHSTEIN. the managing partner and CEO of the firm "(RRA), has, according to
assertions of certain investors, allegedly orchestrated a substantial misappropriation of
funds from investor trust accounts that made use of the Jaw firm's name (RRA). The
investment business created and operated by ROTHSTEJN centered around the sale of
NOT A CERTIFIED COPY
Epate1n v~ RRA, el al.
Page7
interests in structured settlements." See Prelirrilnary statement of RRA dissolution
·action,. Exhibit~ 11~reto.
14. tn furtherance of the scheme; RRA.'.s le.tterhead ·W?s .us~ in commurdcatlons
rcgatdlngdny~stn;i'eM op.po/itiJ:ii,ities, Jrt. ·pt,1rportea -~;truclured · settrements~ RRN.~ trust
a1Zoount was used to-.depo-sit f:1undreds of r:nillfons of-dollars or wire transfer of mc;nies
frot=n dupeiflnvestQt.s,and ottierVlctlms. RRA personally guaranteed payments.
t5i -Rofhstelr:{:s scheme went so far as to manufacture raise. and fmtlduteht Coort
opinbnir/or-dera lntjUding foiging, ·the signatures of U.S. District Judge, .Kenneth A.
·M,ma-a:md'HiS"':Circt.11H3euit Judge, Susan.H~ Black, Hlh Circuit-in othen;ases. it.ls not
;,et koowR if .he forged slmiar daoomenl$· m Espteln related malters. See Composite
E,xhlbit 3 hei:eto. ·
16. The detans of this fraudulent scheme are being reveal_ed on a dally basis through
v1;1tiolfS m~r~ rep.ort:s .and court documents. The most recent estlm~te of the financial
soope:of ffie s'o:heme' is :that it exceeds $1.2• billkm dollars.
17. R-elevan:tte this-acilian~ EPST81:N is currently n~m~ as -a defen~anttn three clvU
acllon$ alleging, inter alla-. sexual: assault and battel)' that were handled by RM and its
attorneys IRcili-dlng EDWARDS prior to its Implosion - one of which is filed in federa"J
c0urt (Jane Doe v. Epstetn, Case No. oa~CIV-80893, U.S.D.C. S.D. Fla.)(Jane Doe Js a
named Defendant herein)1 and two of which have been filed in state court In the 1'5
111
Judicial -Circuit Court, .Palm -Beach County, State of Florida, (L.M. v. Eps1ein, Case No.
502008CA028051XXX.XMB AB; E.W.. v. Epstein, Case No. 502008CA028058XXXXMB
NOT A CERTIFIED COPY
1
;
~stein ·v; RR,\ alak
P.age8
AS.}, {hereioa:ft-er cotlecftvely referred to as the "CMt Actions,· and !;.,,M fs a n.am.~
Oeferatantl1erein); The- Clvfl Actions were all fifed In At:1gust and September-of 2008 .
. 18~ 'What Is clear rs that a fraudulent and imp~per investment or Ponz.Lsoheme was
In iact conducted and operate(! by RRA and certain of the. named ,Defendants, which
·:sche:rne:d~ctly Impacted EPSiEIN as a named defendantln tlie· Civll Actions.
Ht Mla'.ml ~e,Y,:-i:i"nt'iLd6'1.eibper1 Alen Sakowifz, was quoted In a Nb\le;mber -2009
1aftlcJe:,-as~sa~nm=that·'l:ie h.eicJ: m~t with ROTHSTEJN:as-a,potentiaHrwestor in:August of
200.9,."but ,became- suspicious. He stated •1 was cenvinced it-was all a Ponzl s,ohe:rne
an~- I notffied the F'Bl In detaU Mow Scotty ROTHSTEtN wa5 hldln·g behind :a legmmaffi
law firm to peddle fake investments: Attorney Sakowltz was also quoted as sayhg
--ROTHSTEIN· bad·sophistiba~ eavesdtopp1ng equipment and fonner law enforcement
,officers Who would sift through a potentiat defendants• garbage looking for damaaing
~vldente to-·use. with investors ·to show how potential defendants ~ould be 1:11 esseoce
blackmailed Into paying settlement that far exceeded the value of" any legitimate
damage clahn.
20. Ft Lauderdale a~ome.y Willlam Scherer represents multiple Rothstein related
Investors. He b1dieated,1n an article.that RRNRothstein had used the "Epstein Pldy ...
as a-shpWpiece aa
0balt. That'-s the way he raised .all the money. -He would use ... cases
as bait for luring Investors Into fictional cases. All the cases he allegedly structured
were fictional. I don't believe there was a real one in there." In fac•, on November 20,
2009, William S-cherer, on behalf of certain clients, filed a 147 page Complaint against
.ROTHSTEIN, David Boden, Debra Villegas, Andrew Barnett., TO Bank, N.A. Frank
! '
NOT A CERTIFIED COPY E-plteln v. RR-A. etal. Psge9 .. ' Spinosa, Jermifer Kerstetter, Rosanna Caretsky and Frank. Preve asserting various ailegations that further prove the massive Ponzi scheme behind the- RRA fagade; and :as ·ef Nov~mber 25~ 20©9. a 249 page Amended Complaint naming additional 1b.~~ttciams:-was,'f'ffetli~, Zt ln,adofflon,, anch1porrlntormatlon a,nd· 1,elief, iWTHSTEtN, Da~ Boden~ Debbie Villegas,- Antf rew -Barnett. Michael Flsten and Kenneth Jenne (all ernptoyees of RRA) through broke~ or middlemen would stage regular. meetittgs: during whtch false statements- w~re made about the number of cases/clients that existed or RRA had ~gainst SP-STEIN and the valt:1e thereof. They woold sbbw end snare actual case files ftorn the .EP$TElN aclions.wlth hedge fund manag~rs. Thu$. ·\he .attom.eys an(t cltent~ hav:e walv«s any attorney•ctie.nt or work- p.rQduct-prMteges,-tttat otherwise m:ay have existed, 22. Baca.use potential investors were given access to -some of the actual Civil Action fih3s, lnvestor--thii'd parties: ·may have· became aware of a name of an existing -Plaintiff Who· haf~Jed· ·anonymolil$!Y against ·spsw-Jn·and had opposed dlsclosur<! of her legal _ .name. 23. In all other instances, by RRA, ROTHSTEIN and EDWARDS claiming the need "for anonymity with regard to existing or f abrltated clients. they were able to effectively use ·1nitial.s. Jane Doe or other aoonymoul3 designations wl:iich was a key element in the _fraudulent scheme. Ffctitlous names could b~ .created to make the investors believe many, other cases existed against Epstein.
NOT A CERTIFIED COPY
\
_I
- )
Ep~teln ·v. • ~RA, ~tat
-Page10
24. 1n each of RRA's Civil Actions. the Plaintiffs are or were te·presented by RRA and
its attbtneys. lticludlng ROTHSTEIN. and EDWARDS.
:2s. ~n addi~n. mv.estors were told :that ih addition to the Civll Actions another fifty
(50) plus·anoaymous,.fe:male$v,ere repres·snte.d .by RRA. with the potentiaf tor hundreds
·of miltle,,_ns of dollars in settlements, and that RAA and--~ attomeys·would sue· Epstein
ool~s-$ he paid emi'bttarit.;.seWement amounts to protect h:ls high-profile fi;iends.
26. Upon informatlon and bellef,
EDWAR-OS ·knew. or should have known that
ROTHSTEtN Was utitmng RRA as a ·front for th& ,massive Ponzt sc:heme and/or were
:s~llirtfH\n=~ileged iraterest'ot iilV&$lm'ent rn ~-Clvil.Acli~rnr(al'ld other ciaims) involving
Ep·siefn,
27. Furthefr evidencing that EDWAAtlS (and =possibly 'Other att-omeys of RRA) ·knew
or should have known and participated in the continuation of the massive Ponzi
sobeme, a fi'ont-pag_~ Pafm Beach-Post article; dated November 24, 20{;)9, reported ,on
the re.cent filing of an amended torfetttne complatnt by prosecutors agaf nst •dozens of
ROTHSTEJN's . reat estate properth:ts;. for-e!gn =cars, re5tatnants and other assets -
·lricludtng $1-2imillion in the tawyef-s bank account ro Morocoo, ~long with millions rn()re
donated to ·political campaigns· and· chaiitabte funds.;, The artic1e ·further reported that -
Attorney Scott ROTHSTEIN tapped into mHllons of dollars from his massive
investment scam to cover payroll costs at his expanding Fort Lauderdale
law'firm, federal authorities said in court records released Monday.
ROTHSTEIN's law firm (RRA) generated revenue of $8- million in one
recent year. yet his 70:.lawyer law firm had a payroll of $18 million,
'
;
i
j
1 !
! t i
!
f,.·
ri
I i
!
j
i !,
i
i
i i
'
NOT A CERTIFIED COPY
)
,~ate1n;v ... ~-stal.;·
,pa,9~,1:1
pro.~euJQi-$' said. ROTHSTEtN-.. who· owned ·half of RRA used favest~rs•
ffiQney·fyom-hls Ponzi schem~ to make up the sho"rtfall,·they satd.
Subseque.nt artfctes and court filings have reflected ROTHSTEU•i received
com.pensation- hi· exce1?s of $35.7 ml!Ron In 2008 and $1'0.5 nilUlon in 2009, while
his. partn~r Rosem~J9t.teceJve~tgreater than $6.mlmon In 200a.
28. ,RQTHS'f:ElN attempted to-·lure the entltylmowR as D3 Capital Club, L~C, C-03"},
r·· ----- 'by· offering: 1)3 ~
opp~nity" to 'ITTVesf ·tn a pre--suli $$0,;000;-000.-00 eoart ·settlement
\
agafr,st EPSTEIN; _yet . thls :suppesed setttement never existed and was .entirely
\
)
fabricated. to·augmeat his concocted swr-y, ROTHSTEIN, upon Information and belief)
-invited 03 to his office to view thfrteen (13) .banker's boxes of oase files in Ja-ne Doe
;,-,-
(one tifh:CMI :Actto:ns)1·iA an.attempt to ,substantiate-that.the clalms against EPSTEIN
.
-
~er~ ·legltfma.te .·and that iie eY.ld~_nce. obtained. againM. him by RRA. ROTH_STEtM, and
r~WARDS (the "litigation Team;·was real.
29~ Upon lrifQrmation and ·belief, ROTHSTEIN and others offered other investors Dke
the entity D3'fabricated"investmentopportunities In the Clvil Acl1ons Involving EPSTE1N.
Fisten (a forrner Dade County pollca officer with .a questionable police record and RRA •
• - inves_tlgaior) -and Jenne {a mtmer attorney, ·Broward County She:riff and felon) assisted
ROTHSTEIN In -making ·these offers by providing confidential. prtvlleged and work-
product Information to prospective thlrd--party Investors.
..
.
.
:, Jl ~-~-il tl14::ef ~e4P,-bt>xe4i _,seJzed by ,the FBJ ·ai .part- of ltS _ lnvestir,,atfon_,at ({-RA
,c.;gl"t$ls,tm:f,'(\lfjU@,~t;ela.JJ.Ag ~,,ffia QM( ActlonsJnv.oMng EPSTE_!N,-·as r~porterl by eoun·sel for 1he
~hkn:t~ 1:ilfl~~- J)ritl) ~ote'~i:ls ean be r-eVle_WM, ~$ w~tl a~-other dlsaovery, ,Epstein wJII
ni.it-Rn~\9,tbe.:d~p.lb1oelfl.e-fiauii:ao,f t...
NOT A CERTIFIED COPY
l:pslelf-1 V, RRA, el al,
Page 12
30. By using the Civil Actions against EPSTEIN as "balr and fabricating settlements
fe9i:,if9ing_ same; ROTHSTEJN and others were able to lure investors into
ROTHSTEiWS lalr andf-bilke.<Hhem of mUlions ofdollarswh1cll, in tum, was U$ed to fund
theilitlgatfon,,agal~iff';EPS'fi:tN·'for the sote purpose of oontlnuing the ma~ive Ponzi
scheme:._
31. As part ofthis scheme, ROTHSTEIN and the UUgatlon Team,. lndMdually and In
a 'CDn~rted _e.ffQrt,. ~y have unethically-and Illegally:
·:a. -Sold-. allowed to be sold and/or assisted witt,- the sale of. ·an lntere~ In non•
·,settted pE!rsonal Injury lawsuits {Which are non-iass1gnable and non~
tra~fertlble) or sold non-existent structured settlements (incJuding those
• cases.Involving Epst&ln):
,--/' .
.
•
(
b. ,Reac'hed agreements to share attorneys fees with non-lawyers;
:c. Used. Investor.money to pay plaintiffs ·(I.e., L.M., E.W. and Jane Do&) "up
:tront" mot:1ey.sueh that plaintiffs would ~fuse to settle the Civil Acilons;
:d, --Opndueted searches, wiretaps. or lntetceptetl conversatlons in vlolatton of
state or federal laws and Bar rules; and
e. UtHized the judicial process incfudlng, but not limited to, unteasonabfe and
unnecessary discovery, for the sole purpose of furthering the Ponzi
scli:erri"a.
·32. Af.r,J such actions by ROTHSTEIN, and other attorneys, Including the litlgation
Team,.directltor Indirectly, would potentially be a violatfon of various Florida-Bar Rules,
!
!
i
I
I
,!
i
' i i
j·
I
;
i
I-
i
t
NOT A CERTIFIED COPY • i gpsteln v; RRA, et al, Pagl;'l 13 including,prohibitlng the improper sharing of fees or costs and venous conftlots of Issues rules~ 3.3: Evideneing"that the Litigatton Team knew or:shourd have-J~nown ofthe lmproper p~rpose that "ROTHSTEIN was pursuing In the CQritlnuatlon • of the sctienie, ROTH$TEiN used RAA's Litigation Team in the EPSTmN· cases to purs.qe· lssue.s and ·eVtden'ce iJntelated- to ·and unne~ssary to the cla1ms pied In the Clvir -Actions, but sigrnflcantly ,beneffclal to lure Investors Into the Ponzi scheme orohestrated by. ROTHSTEIN .and other to-conspirators. :34_ Upon ·mformation and hellet. ROTH-STEIN.and- 0ftlers cl~TI"Ae~ ,tJ:tef(irWestlgators . . discovered that there were hlgh1)rofile lndlvlduals onbb.ar-d Epstein's private jet where se:~~ assaults took place and showed D3 (and posslb~y others) copies of a flight log purpoii:~dJy. eonta1nlng names of celebrlties, dignitaries, and lntemationa! figures. 35. For iRstance~ th:e Litigation Team relentle~sly and knowingly-pursued =fllght·da1a and· passenge'r marilfe;s:ts regarding flights EPSTE-lN took with:thesa faJJ10Us Individuals knoWing full well that no 1.1nderage· women were onooard. arid no tlliclt actMUes took pla'ce. ROTHSTElN and the Litigation Team also ·inappropriately attempted to take the i:lepos[tlons -of these celebrities In a calculated effort to bolster the marketing scam that was taking place. 36. One of Plaintiffs' counsel, EDWARDS, deposed· three of EPSTEIN'S pilots, and sought fhe deposition of a fourth pflot (currently serving in lraq), The pilots were deposed by EDWARDS for over twelve (12) hours, and EDWARDS never asked one question rehitfng to or about E.W .• LM., and Jana Doe .(RRA clients) as :11 related to i i I. j : . J. i j r ! L
NOT A CERTIFIED COPY ~psielh V .,RRA, et al~ :p~~H transportation on fflghts of RRA cfients- on ariy- of EP.STElt-tS ,planes,. But EOWARDS ·--,_, asked many lnflammatory and leading Irrelevant ·questions about the pilots' thoughts _ ! arid beliefs (which wlll never be admissible at trial) which could ooly ·have been -asked for 'the putposes of Apumping• the case,~ and thus. by using the depo_sftions ·to sell the ,' ________.-/ cas,ea. (~ra_part Jlf them) to thfrd _pgrtles. 37. ~use Of these facts, R.OTHS'fttJN cla.1m:ed that ,Epstein ·wanted· to- make -certain nor,ie of these lndlviduals would be depased and therefore· he t,;ad off&red $2.00.000,0~00 to sattte-the claims of RRA female cfients variout. pc>tentlal plaintiffs tn :r:tatto11s· agalnst EPSTEIN. The offer of a $-200- mflllon dollar· settlement by -EPSTEfN Wc;lS completely fabricated; no such offer had ever-been' made. 38. ~OWAROS' office also notified Defendant that he ln:tertdad to take the depositions of.and was subpoenaing: (i) Donald Tromp (re·aJ-estate magnate and business mogt.il); (u).Alan Dershowttz (noted Harvard Law professor, constitutional attorney and one of EPSTEIN'S criminal defenseattomeys}i • (rii)B!H ·Clinton ·(Former President of the United -states)i (iv)Tommy Mottola (fonne(President of Sony-Record); and (v) David Copperfield (illusionist). 3.9. The above-named individuals were friends and acquaintances of EPSTEIN with whom he knew through business or philanthropic work over the years. None of the above-named lndlviduals had any connection whatsoever with any of the Litigation Team's clients, E.W., L.M. or Jane Doe.
NOT A CERTIFIED COPY :Epsteln_v, RRA, etal. ,Pai,e 15 40. EDWMO'S -flied amended-answers to ·tnterrogatorfei tn,;tha s1ate court matters, E.W. and LM,; an'.<f fisted additionat·hlgh profile wltnesses·.t/mtwould·a11egedly be called at trial, lncfuding, but-not limited to: ( (i} Bill Richardson (Governor of New Mexico, formerly U.S. Repres.entative a·nd.Ambassador to the United Nations); and (ii) My· arii:t ljll persons having knowJedge of EPS1EJN'S char.itable, , politieal or other donations;2 4t. the sate purpose .of the scheduling-of these d-eposltfons or listing high profile friends/-ecquafntances -as potential witness-es was, agatn, to •pump" the ·cases to investors. 'ThenHs no evidence to. date that any of these lndMduats had or have any knowledge·regatding .RRA~ CIVIi Aotions. 42. tn furtherance of their Illegal and fraudulent scheme against EPSTEIN ► ROTHSTE1H, EDWARDS (who either know or should have known) and, at times; LM. tn 'hefCMI Action against EPSTEIN: a:) Included clailtiS for damages in Jane Doe's federal :action in excess of $501000,000.00 rather than simply alleging the jutisdldtional-lfmlts. b) OrgaAized a Jane Doe TV media interview without any legitimate legal pwrpose other than to upump" the federal case for potential 2 These high-profile celebrity »purported~ witnesses have no personal knowledge regarding the facts on these "Thtee C.eses·, but were being Qlntacted, subpoenaed ,;,r listed to harass and infimldata lhem end Epstein, and to add "star" appeal ·10 the marketing effort of lhe Ponzi scheme.
NOT A CERTIFIED COPY Epstein Y, RRA. et al. Page 16 .. ,. .. : investors or to prejudice ·Epste1n·s right to a fair Wal in Palm Beach County. cc) EDWARDS, Berger and Russell A-dler (another nam~d p:artner In RRA) alf attended EP.STElWs dep9!!tion. At tiJat time~ ----- ~,-• outrageotl$ questions were as:ked of EPStEIN which had no beartng on the cas-e, but so that the· video and questions could be shown to Investors. ~} Conducted and attempted to conduct completely lrrelevant 'Q~eG\ie~·-.l[airelaied to the claims 1A or 06\lbfed: m~tter. of.the :Civil Acllons fer the ,purpose of hara°tlijln9 ,~nd embarra·sstng .witnes.ses . and EPSTEIN and causing EPSTEIN to spend· tens of thq_usands ·of dollars in unneoessaiy attorneys' fees and costs defending what.appeared to be-dlscovel)' related to the Civil Actions but was entir-e!y-wlated to the "fYrtharanca Qfthe-Ponz.i .:ach¢rn.e. el AfteT EOWAADS was recruited and }o1ned RRA -In \he spring, of 2009, the tone and tenor of meto.rlc directed -to case& against EPSTEIN used by Attorney EDWARDS and Berger changed dramatically in addressing the court on various motions from being substantive oh the facts pied to ridiculously inflammatory ~nd ~otind-bite rJch such as the Ju)y 31, 2009, transcript when ✓----------~-- 1----@_~~ated to the Court in E.W./L.M.: "What,the evidence Is really going to show Is that Mr. Epstein - at least dating back as
NOT A CERTIFIED COPY
Epstem v. RM, et at
Page 17
far as our Investigation and -resources have permitted, back to
1997 o-r '-98 - has every stngle day ·ot hi& life, made an attempt to
0
--
-
L
/'stll«Jalty abuse chlidren. -We're not talking about five, we're not
1
miking· about· 2{i, ·w,lre~ talking abot.1:t tOO,. we're not talldng
about 4:00. which, I beUeve, ls· ·the ruimbef known to taw·
..... ---••-----•-•~- r.--------~•-•---•-
•
-~-----,-~~,_. ,--••~-•-•••---:
••-
enfor:cemea:t. we. are talldngc:about'the1:1sands of ehtldr-er:'I. . ·~--and It
is througll a very intricate and, cornpfrcated,s¥5tem that he d~vised
where. lle· has as many aa -2.DJJr,opJe weddng. µrtdero~aUl hlm that.
he is paying Well ·to schedutt, Uiese. a-ppomtm~s,;to Ideate these
girls.•
f) As an example, EDWARDS filed an unsupporta·b1e -and legally
deficient Motion for lnjunction Re¢ttafnlng Fraudulent Transfer of
Assets, A1>f)Gjntrnent of a R-ecelver,to Tcake.Charge of Property of
Epstefn. and to Post .a $15 million, Bond· to· SeCQre Potential
Judgment. in Jane Doe y, Epsteln~ c·ase No. 08-CV-8"0893-
Marra/Johnson. The motion was .reported In the press as was the
ultimate goal (i.e., to "pump" the cases for Investor following}.
However, the Court founo •ptaln~tr-s-·.moti9n _entirely devoid of
evidence ... ", and-denied the motion in toto.
g) ROTHSTBN told investor.s he. had another 52 females that he
represented, and that Epstein had offered $200 mllllon to resolve,
NOT A CERTIFIED COPY Epstein v. RRA,·eled, Page 18 but that he could settle •. confidently, these cases for $500 mllllon, separate and apart from hts legal fees. h) .ROTHSTEIN end the-L"itlgation Team knew or shoufd have .known :that-their three ·($}flied cases were weak and had rtihilmal value :for the foilowlng reason~ (J) (ii) ·(iii) L.M. - testified-,sh.e ,never tr.ad any type.of sex with Epstein; Worked at numerous. strip· cfl:lbs; is an admltted prostitute and call gkl; has a history of Illegal ·drug .us-e (pot~ ,pafnklllers, xanax, Ecstasy}; and continu~lly asserted the 51b Amel'l_drnent ·during h!~'depositions ljf:Ofderto avokfanswering relevant but 'problem questions for her; E.W. - testified she -worked at eleven (11) separate strip clubs, iriGludlng Cheetah which RRA ~presented and in, which ROTHSTEIN may have .owned an Interest; a,:td E.W. also worked at PlaUnum Showgirls In Boynton Beach, which was the sub}ect of .a recent police raid where danGers were allegedly selling prescription palnklllers and drugs to pustomers and prostituting .themselves. Jane Doe (federal case) sef:~__$6_0 million from Epstein. She and her attorneys claim severe i i !"
NOT A CERTIFIED COPY
i
Epstelµ v. RRA, et al.
Paga.19:
emoilonal dlstrl3ss as a result of her having
• voluntarily gone to Epstein's home, She testified
that there was never omf. and or sexual
Intercourse; nor did she e)ler touch his genltalla.
Yet,. Jane Doe suffered extreme emotional distress
wait.prior to ,meeting Epstein as a result of having
witrie.'sse~ h~r fath_er -mum.er his girtftli;;nd's son.
She, was requfred to give sworn t8$tlmony In that
matter and nas admttted that she -has'.lled in sworn
testimony. Jane Ooe worked at two diffe~nt ~trip
clubs. including ·Platinum Showgirls In Boynton
Beach.
I)
Con.duQ\E;Jd
rfdlculous
and· Irrelevant
dlscoveiy
such
as
subpoenafng ~rd:s from an alleged sex therapist, Dr. Leonard
Bard rn Massachusetts. when the alleged police report reflected
that EPSTEIN had only seen a chiropractor In Palm Beach named
Dt .. Bard. N0.:-records relating to EPSTEIN exist.ad for this alleged
{3eX therapJst; Or. Bard, and the a11eged subpoena for records was
just another mechanism to "pump" the cases for investor appeal;
j) Allowed a Second Amended Complaint 1o be flied on behalf of •
L.M. alleging that EPSTEIN forced the minor fnto •oral. sex,• yet
L.M. testified that she never engaged In oral. anal, or vaginal
t.
I
i.
i:
j
I·
t
i·
!
NOT A CERTIFIED COPY f;psb!-hv. RRA,--e.t e1I. Page20 intercourse- wlth EPSTEfN and she had never touched hls genitalia. k) Told Investors, as reported fn an Associated Press article, that l :e.br~es ... and other famous peop:ta h~d flown o. n. EPS'TEIN~S ne when assaults to-ck place. The:refore. e.ven though none ro) ofRRA's elients claim th~Y flew.of-EPSTEIN'S planes1 the t.itl~ttori Team sought pUot and plane I~. Why? Agaln, to .• pl'ime ·the Investment • "pump• with new money· wlthout .f¥1y ·relevance to the-existing claims made by the R'RA clients. t) After EDWARDS joined RRA, EDWARDS and former Circuit Jud111e ~-IIUan, Berger filed and argued motion to make the Non- ,.,--- Pmseootion Agreement (NPA) beblveen Epstein and USAO public. Bllt; 'RRA, SIDWARD!fa-nd Berg~r, and· their three clients, atready had a copy of the NPA. They knew what it said and they knew· the civil provisions ln the agreement had no impact whatsoever on the three pending Civil Actions. • The concept behind certain civil provisions in the NPA was to allow an alleged vlctlm to resolve a civil clalrn with Epstein, maintain her complete privacy and anonymity and move on with her life. As an assistant United States Attorney stated at a. hearing in federal court, the NPA was not designed "to hand them a jackpot or a key to a bank." L r ! ;· !
NOT A CERTIFIED COPY
Epstein v.,RRA, et al.
P-aga 21
•
43. ROTHSTEtN, With the intent and improper motive to magnify his financial gain
0so··gi'fitiliue· to :fund the fraudulent and Ulegal investment andlor Poli:Z:i schema, had
'EDWARDS demand excas~ve moneyiror'n EPSTElN tn the Civil:Actions.
44. The·aclloMs described In paragraph 42 above herein had no l~itlmata purpose in
pursuing, the :QMI Actions against EPSTE1N, but rather were m.E?ant- to further the
fraudulent scheme and crtmlnal activity of ROTHSTEIN so that he. and others oould
fraudulan'tly overvalUe the settlement value of the existing and non-existent claims
agaitisti;:PSTelN to .potential Investors.
45~ As .a r-esult of the fraudulent Investment or {Ponzi} scheme,, RRA and its
aitQm$ys '1n the Civil Actions aga1inst EPSTElN may have comprornlserl their olleints-
1
·1nterests:. ROTHSTEIN and the Litigation Team would have been unable to give
uhbfarsed legal counsel because outside tnvestor(s) had been promised a financial
int~resf.l.tdheoutcome of the actions. Additionally, if a plaintiff re.ceJVed payments from
fiiV'.~merit mohlesi'Whlle her action is pending, this dearly could impact the plaintiff's
decision of .wh,ather or ndl to settle the current litigation or shade tnem· testimol'iY (l.a.
·cconiliiit petjUfy:} to·galn the greatest return on the investment and to furtherpromotetbe
Ponzi Scheme. •
46.
The truthfulness of L.M.'s allegatlons and testimony in L.M.'s state civil
action have been severely compromised by the nee(J to seek a multi-million dollar
payout to help maintain RRA's massive fraud. Be<:ause fictitious settlements oflens of
millions of dolfars in cases relating to EPSTEIN were represented to "investors" in this
Ponzi scheme, RRA and the attorneys In the Civil Actions needed to create a fiction that
' l.
NOT A CERTIFIED COPY
Epstein v. RRA, ·et·al,
:~age22
:Jncluded extraoltliflciry damages. However, the ·aetual fads behlfid -her action would
never support sat:h extraordinary damages. Therefore, extraordinary meast1res were
undertaken to create an entirely-Inflated value of her claims against EPSTEIN.
a. To(>ugh she he1d he~elf out as a
11vfetim" of Epstein. she admitted to having
rei!Jmed over and over again to hlin C,es_pite her cur~nt elaim of ab:Use. She
..
•
-n••r.•,•......,~-•---~----•------.-~-~:•-~•- _______ __..-_...s,-----'--••••-•••----
·•••
has· now admitted, 1:inder oatll, to b.elng· a::ea.1l ,gfr119$cort sin.ca the :age- of 1"5.
______________ , ___ .---·.
-- -------··
'(in her deposltJon September 24, 2009 .-mns:crlpt •or 28.0:-1'6•1'~)-
Sbe
~ed "Wet~ I llved life as a .prostitttte/' (see DT 156:7) and "I -am a
prostitute when I make tnoney'" (see OT 156:1.2~1-8}.
L.M-. admitted her
activity with men other than Epstein bma"l(lng $-1-;000 a day fron:i-.prostitution
on ·maybe more than 20 occasion·s in-,one year, aione- {OT 16:7-;11-1.58:21).
,
----• --
-
LM, adrriitted under oath io keeping a list of amounts slie collected- from
'"Johns" in· "two or three" lined books ·rnchJding a book of MPsalrns1' that she
obtained from a religious store (DT t52r1-1-4-). Under the circumstances, her
.claim ·f~r damages against EPSTEIN. -one of l.M.'s many "Johtis!• d'tfring that
s·am_e period, would be so incredible and certainly ·not likely to pToduce the
extraordinary settlements promised to "RRA'-s lnvestors.'
1
47.
In April 2007, before she was represented by EOWARDS, and RRA, l.M.
~ave sworn taped recorded testimony to the agents of the FBf. She was represented
by a lawyer other than EbWARDS at that statement. She-spoke of EPSTEIN- in a very
positive and frtendly terms and directly contradicted the central allegations on whlch
L.M.'s cfvil action against Epstein Is now based.
However, onc.e in the hands of
NOT A CERTIFIED COPY
Epstetn v. RRA. et al.
Page23
'
EDWAAO-S and RRA, l.M.'s -story changed dramatically. All ·t>f a sudden she want-ecf to
sue EPSTEIN and like other RRA clients, sought tens of minions of dollars-.
a. For exampli;J, in her sworn. statement to "fhe P:Bl, L.M; was .insfstent that
11Jefft-ey is an ·awesi:,rne -ma'ni"· (p. 21 .... FBI); At the ooncluslon of she
stated~- ~ -hope Jeffiey.. no'thing: -happens to Jeffrey because. he's an
aw~me man and it reEi1ly would-ba a shame. Ifs a ~bame that ti~ ('las to
·t,o through this ~use he's an t1wesom0 guy•ancf lie" didn't do :nothing
wrong. nottUng." (pp. 57.-58 - FG.f).
In faQt, L.M. spoke so highly of
'EPSTEIN and ·her rnteracttons with him that :the W$ Attomay's office
Informed a -federal court in July 2008 tllat the . US Attorney could not
consider LM. a vlctim.
Yett by September 24, 2009, the date on which L.M. began her
deposition In her civil action and now represented· by RRA and
EDWARDS·, l.M. 's new anctf very • different tale a.bout -puJJ>drted sexual
misconduct under the supposed Influence of EPSTEIN had been
thoroughly rehearsed and her role into the ROTHSTEIN s.carn was
complete. ln her deposition in her civil action, L.M. declared that:
•11 I don't really care about money." (DT 206:8:)
KHe needs time in Jail. He doesn't want to be. - this Is not right for
hiin to be on the-streets living daily-~ ... • {OT 219:21~23)
NOT A CERTIFIED COPY
~psteln v. ·RRA. et al ..
Page24
"Y~u d0n't think nw Whole llfe I have \ived that -shitty llfe because of
Jeffrey Epstein?" {OT 222:7-,B)
b.
In her swom FBI testfmony (pra~EDWARDS and RRA}, L.M. was
em:pha"tkl that. her Interactions with Epstafn involved no Inappropriate
~~
foochlng_iln anyway~ In :fact, it was exactly the opposite:
_ .Q, Old he at any -point kiss you, t9-ucb ·you~ show any kind of
~(
afl'eotfon towards you?
I
(
A: Never, ·n&.Ver. {p. 21 - FBI) . , .
Q;·So he never pulled·you·clos·erto him.in a sexualway?
\
A.,. t wish-. ~o. no, never, ever, ever~ no, never.
Jeffrey is an
\
awe.some·ma·n. no. (p. 21 ~ FBI)
t---
,
Yet. L.M. filed herseoond amended eompl~lnt_in Apm·2oos,
after EDWARDS Joined RRA, the allegations against EPSTEIN in
. LM.'s compJaint became even more saisclous. In paragraph f2 of
LM.'s Second Amended Gomplalnt, LM~ alleges among other
things, that:
~Jeffrey • Epstein coerced.. induced, or enticed . . .the then minor
PlalRtiff to co:mm\t various acts of sexual misconduct. These acts
Included, but were not limited to. fondling and inappropriate and
illegal sexual touching of the then mfnor Pfatntfff. forcing or indueing
the then minor plaintiff into oral s~x or other seJCUal m1sconduct ... u
NOT A CERTIFIED COPY
-Epstein v. RRA, et BL
Page2S
c. fu her sworn FB1 statement {pre-EDWARDS and RRA); LM. tastified that
(
•• Carolyn Andriana, the Individual who first broaght LM. tQ: EPSTEIN's
{
home, told LM. "·make su·re you'·re 18 beGi;lUSe .Jeffrey does.n~t want any
/
tih9erage gins.• (p. s- FBf).
/ __ _
Yet at her September, 2009 deposltlon now· represented ·by
EDWARDS and RRA,. L.M. told a very different story:
Q; .My ql!Jeatlon was what did Caroiyn tell you to tell Mr. Epstein
about-your age?
A: She sald It didn't matter.
·Q: That's your recollection about what she said?
,N, Yes, she said - I remember her saying it doesn't matter. Don't
worry aboutit ..
(DT 199~2-0-25) .
d.
Pre-.EOWARDS and-RRA, LM. testified to the FB'I :·,~1 aJways made
sure -- I had a fake ID, anyways .saying that I was 18." (p .. .a.- FBI).
Yet, when questioned about her fake ID at her September 2-009 depo, she
staiatk
,Q: Arid did you have a fake ID?
Q: Have you ever had a fake lD?
NOT A CERTIFIED COPY
Epsteln·v. AAA. eta!.
Pag~_26
A:·-No.
(OT 300:5-8}
e..
In her FBl statement {pre-EDWARDS and l~RA}~ L.M .. testified
ab'o!it- othsrs LM. brought to the Epstein home. -L.M~ testm(3d :th~f women she
brou9ht ta E.P.STEiWs home were eager for°'tM=opportUnny and-content with their
experiences:
A: None of .my girls ever had a -problem and th~d call me. They'd
b,~9 me, you. krJOIJli, for 4~ -to go to Jeffrey,"$ hqliJSe beeause they-
lOV~ Jeffrey. Jefftey-is a: respectful man.~ He really ls .. hmean. and=
_ he :all thought we were ,of age ,mways. this ts whafs. so"sad ab9ut.
•
.,
-
-
-
-
-L
•••~---~ -•
-
0
-
•
•
0
rt {p 30 - PB1}.
q: Did any of the :gir1s complain about What h1;1ppened after they left
there?
A:· No. You asked =me that question. No, -averybooy loved-Jeffrey.
{p. 44 -FBl)
~ ,Every girl that I brought to Jeffrey, they said they were fine with
'lt. and Ilka for example [E.W. - another of RRA's clients in the
Civil Actions), a lot of girls be~~e~ r_n:~ _to __ pr.Jng tbem back for the
--•
money. And as far as I know, we all had run there. (p. 45 - FBI)
j.
I ,
! ;
' j
1·
i
f
NOT A CERTIFIED COPY .Epstalh v. RRA. .et =Eil. Page'i.7· • Yet; with EDWARDS and RM as her attorneys, -L:M. did a "1ao• at her September, 2009 deposij:fon in saying; A: ... Once they were there. they were. scared out of their mind. They did- It -anyways and some/of -them walked 01.-d and said L.M. d:_on't =~v.sr do this to me 91i:'r. That was.0the wot-st thing thi;tt ever •••• - 0 - - -• ___ ___.. ~-• -- T--• l'lappened to me. tDT 170:6-11) ... A: And then, a Jot of girts weren•t comfortable. (OT 171:13) f. The above. represent only a fe.w of the dramatic changes L.M. made in hat tetUmony :prior to her represe.ntatltm- by EDWARDS/RRA and after she hired ROTHSTEIN. EDWARDS and,RRA. 48. As a -result of the fraudulent Investment or (Ponzi) scheme, L.M. may .knowingly h~ve compromised her-aliased interests ih her CMI Action, or committed a fraud on the court. 49. RRA and the Litr~tion Te·am wok :an emotionally driven s~t of facts involving alleged Innocent. unsuspecting, underage· females and a Palm Beach Billlonaim and sought to -tum It into a gold- mine. Rather than evaluating and re$olving the cases-based :on the merits (i.a. facts) which Included knowledgeable, voluntary and consensual actions by each of the claimants and substantial pre-Epstein psychological and emotional conditions of each of the claimants and substantial sexual experiences pre- Epstein; RRA and the- Litigatron Team ,sought through protective orders and objections to block re1evant discovery regarding their Claimants. They Instead forged ahead with -discovery the main purpose of which was to pressure Epstein into settling the cases. ; j, ! . l ' ! 1 ! ; ' i I ! ! i i !
NOT A CERTIFIED COPY
Epstein v. RAA, etal.
P~(l 28
Fortunately. :their tactics have not been successfuf.
As Magistrate Judge Linnea
Johnson wrote· in a discovery order dated September 15, 2009 {DE 299 :In Federal Case
#08.,;i80119)·indenylng Plaintiffs' Motionfor Protectiv~ Order:
-This js his re.psteln,sJ right The Record in this case ls c:lear that.the childhood of
many of the Plainflffs- was marred by lns1ahce~ of abuse and negleqt, which in
tum may have ·reS11fted1 In whole or iri part, in the damages claimed by the
,Platri~ • •
In- addftloh, in can 6mn1bu::; Order dated O~ber 28, 2009 (DE 377 In Federal
Case-#08-801 t9} Magistrate Judge Linnea Johnson wroti;J:
i!Here the request a.Us.sue goes to the very heart -of the Plaintiffs damage claims,
requesting not only general information relating to Plaintiff's sexual history, but
fnq~iring as to scpei;;iflc Instances wherein Plalnifff received Gompensatlon or
conslderation for sex ,acts, claim other males sexual~y assaulted, batt@red, or
abuses her; anillloi:·-cIi:iim o'thar males committed I-ewd or lascivious acts on her.
As a· :global matter, Plaintiffs qlearly and unequivocally place their sexual history
ln Issue by their aHegatlons that Epstein's actions in this case has negatively
affected their· relaUonshfps by. among other things, "distrust in men," •sexual
intimacy pr-0oler-ns, B •diminished trust," "social problems," " problems in personal
relattonshlps," '" feeling of stress around men," upremature teenage pregnancy,"
-antisocial behaviors/ and •hyper-sexuality and promiscuity." Considering these
allegation, there simply can be no question that Epstein Is entitled to know
whether Plainliffs were molested or the subject of other "sexual activity· or "lewd
i
I
NOT A CERTIFIED COPY Epste_ln v. RRA. et al. Pag_e~ and :tascivi0:us .conduct- lh oroer to determine whether there is an --aUemative bas1$ for":tlie_ psychptoQfbal disorders Plalntiffs claim 10 ,have sustained, whether Pl~intiff~ etngaged In prostitutton or other similar type acts and hQw •certain acts alieged:lri th~ CQmpiaint materially affected Plaintiffs' relationships wltJ:i othets -or how tho·se acts did not hf;!;Ve such an affect on those relatfonships:amtior whether Plaintiffs suffete:d from the alleged emotlollal and psychological disorders· as a r.esutt or-other· sexual acts prior to the acts allaged in the Comp1alnt. To deny 'E"pstefn tt,QS. discovery, woufd be tantamount to b~mtng· him fr-om mo_unting a -defens·e~~, -50~ ROTHSTEiN, EOWARDS and L.M.'s actions constitute a fraud upon EPSTEIN :as ·RRA, ROTHSTEIN ·and the Utfgatlon Team represented-lhemseives to be a.cling In good faith -and with the bests IAter&sts of their clients In mtnd at aH times when in reality, they were·,actllig ln furtherance of the fnvestment or Ponzi scheme described heretn. 1:P·STEt"N justifiably,· relied to his detriment on the representations of R.RA, and Defendants, ROTHSTE1H'1 etr)WARDS and L.M. as to how he condu.cted and.defended the CM1Actions brought against-him. 51. As a direct and proximate result of the fraudulent and Illegal Jnvestment or Ponzi schema or.cihestratad by ROTHSTEIN and as yet other unknown co-conspirators and as -a .. r.esult of1he 11tigation tactics undertaken by the Litigation Team and L.M. a& set forth here-Jn, Pfatntlff ~PSTEIN has ,incurred and continues to incur the monetary damages Including, but not :limited to, having to pay an amount in excess of the Civil Actions' true value as a result of them refusing to settle In that a percentage of any payment by
NOT A CERTIFIED COPY Epstein :v. .. RRA,.et al. Page30 EPSTElN may nave_ been promised -to third party -investors-; incurring significant aoctilienal'-legal fees end costs as result of Defendants refusal to conduct settlement negotiations in a· forthright and good faith manner be-cause any monies pait! by EP-eTElN i's -=th reaflty a promlsed return OR an inves.tmetit; and inGU!'red significant attorneys' fees ,and costs fn • defending tne discovery that ~s not, relevant, material and/ar talcum.tad to lead to the admisslblllty of evidence, but which wa!l- dan~ for the ·sole puJl)Ose of •-pumplng• fbe cases to Investors. ~2. qPSTEIN has also been Injured in that the sco.pe :of -the fraudulent- and crirnin~l ·or' rae.ketaetlng ~ctMty sc;, permeated the RRA :iaw firm that EP$TEfN has been prev~nted 'from fully .and fairly defending the clvll actlans brought agalnst him. In essence, the very existen·ce of RRA was based on the continuation of the massive -Ponzi· scheme orehe.stiated by ROTHSTEIN and other co-conspirators. In ordet to contlntie -to :bring -In monies from Investors, ROTHSTEIN and other ccH;onspirators used theCMt· Ac:oons agatnst EPSTEIN, along with other manufactured lawsu~. as a means ofobtaimng masslve amounts .of money. ·63. ROTHSTEIN, EDWARDS and L.M. are Hable for damages caused to:EPSTEiN - lodlviduafly, :and jointly and severally. Eit::;l2~t2~9.f:~~i!:=~~:r~\;,~7l~~i:;~ • • • - • t¼Ja1mrt)fflJ1e-fena~nI&.= • 54. Plaintiff reaDeges and incorporates paragraphs 1 through 53 as if fully set forth her-ein. i· I i ' i I '
NOT A CERTIFIED COPY Epstelh v. 'RM, eli:);1. P~ge $"1 55. RRA, ROTHSTEIN. EDWARDS ~rid L.M. each and collectively constitute an ' • enterpr~se pursuant to §772.102(3), Fla. Stat (200.$). 56; ROTHSTEIN, EDWARDS and LM. engag~d In -a pattern of crlmiha:I activity as -.defi11ed In §772,-1i02(3}and (4) •. Fla. stat. (2009). 57. As alleged he:reln, ROTHSTEIN and EDWARDS commltt-ed. multfp1~ predicate a.en; ln Vlo1ation·of·§7:72.103(1) 1 (2·)·, (3) and (-4)., Fla. Stat.. lncltiding violations of Florida ·Statutes -· Ch~pter =517, relating to ,seeur-lties "tra:nsa~ons:: Ch!=ipter 817, relating- to fraudulent practices, false pretenses. .and fraud generally ~which lnclude.s LM. )~ Cliapter 831, relating to forgery. §838.-05, relating to extonlon (which jnoludes l,M.); and Chapter 837, relating td perjury (wh1on Includes L.M.). Sl,lbstantrally more than two predicate • acts ~.e.:; -the ~el1ing of or partlefpatloli of the ~al~- of·fabricated settlements outlined herein, in¢1odirtg the Clvl Actions: involving Epstein :as wen as ttie lmpropet lttlga11on tactics outlined. above) occurred within a :flv.e-year:tima period; 58. As a direct and proximate rosuJt of ROTHSTEfN, EDWARDS . ai'ld LM.'s violatl<;ms of§772.103, Fla. Stat. EPSTEIN has been Injured. 59. Pursuant to §772.101(1), Fla. Stat., Plalntiff-·'EPSTEIN Is ei:ititled to threefoJd of his actual damages sustained, reasonable altomerfs fees .and court oosts, and such other damages as allowed by law. WHEREFORE, Plaintiff EPSTEIN respectfully demands the entry of a judgment for damages against air the,named Defendants. • .. - - .. . •• - • . ' ,• ~ :i,;,
NOT A CERTIFIED COPY
-Epstell'I v. RRA, et el.
Page32
60. Plaintiff realleges and incorporates paragraphs 1 through 53 as .If runy ·set ferth
herein.
61. RRA, atong wit!:) ROTHSTEIN, EDWARDS E!nd LM.. each and oollectively,
constitute an enterprise purs~antte·'§S95~02_{~)~ FJa:. stat. (2009).
62. During alt times relevant hereto, ROTHSTEIN, 'EDWARDS an~ LM. war& and
are associated with the enterprise, RRAt and each .other,
63. De.fendaRts, ROTHSTEIN, EDWARDS -and L.M .• as persons ass0$lated with the
enterprise, RRA and-each other ,(as an enterprise), unlawfully CQnducted or partlcfpated,
directly or JnttirecUyl in such- an enterprtse through a pattern of ra:cketeerlng, §
895.03(3). Flii. stat-., as :alle.ged aboV8 herein.
64. The breadth and scope of ROTHSTEIN, EDWARDS and. potentially, L.M.'s
racketeering activity continues to be lnVe:3·tJ9aled by the FBJ, as numerous ciVll lawsuits
-against some of th.e Defendants and others continue to :be flied by persons who have
• been d~maged. As of th·e fliing of thts Complainti criminal charges have only been
brought against ROTHSTEIN.
-
65. Substa"ritlaUy more than two predicate acts (Le~, tile selling· -of faprlcated
s·ett1ements outlined herein, including the Civil Actions imiolvlng Epstein as well as the
Improper litigation tactics outlined above) occurred within a five year time period.
66. Pursuant to §895.02, Fla. Stat., ROTHSTEIN and EDWARDS engaged in a
pattern of Mraeketeering activity" through the commission of crimes as defined In §
• ·B95.02(1)(a)-(b}, Fla. Stat, Including Chapter $17, relating to securities; Chapter 817,
rel-a-ting to fraudulent practices, false pretenses, and fraud (lnciuding L.M.) generally;
NOT A CERTIFIED COPY ~pstelt1 v. R-RA, et al. Psga.33 Chapter 81.3,.relating to fergery; §BS-6105, relating to extortlon-(inciudihg L.M.); Chapter $37, relatli'l(po petjury·Qne•uding LM.). -67. Pursuant to §895.0$, Fla. Stat, Plalntlff seeks the following relief agaln~t • Dew~ms, kQTHSTElN, -EDWARDS and L.M.: a): Ordering ROTHSTEtN ·and EDWARDS- to divest thems.efves of arw·lnlet®t In the enterprtse, RRA; b} Enjoin all. Defendants from ,engaging· in the same- type .of conduct pnd ac1Mties as descfibed herein; -ar:id c) Temperafity· en]t:itntng ROTttSTErN, EDWARDS and LM., from the continuatlOn of the CMI Actfons brought agalhst EPSTEIN until crlmlnal charges have been fonnally brought against RRA and/or any· of the Defondants, such. that EPSTEIN may be altowed to evaluate whether a stay or dismissal of an Civil Actions against him Is merited. 6.8. EPSTEIN furlfuer seeks an award of hJs reasonable attomey's fees and costs, and such oth~r rellefthaUhis Court deems appropriate. WHEREFORE, Plaintiff EPSTEJN respectfutty demanct·s the entry of a judgment for the relief sought arid-damages against the named Delendants. Count 111- Abuse of Pr'<!icess ,,.. • Against AU .Defendants 69. Plaintiff real!eges and Incorporates paragraphs 1 through 53 as if fully set forth herein.
NOT A CERTIFIED COPY Ep'slelA v.. RRA, ehl. Pa·ge 34 ·to. After tnstltutlng the 'Civil Actions against EPSTEIN; the actions of Defendants; ROTHSTElN, EDWARDS 'Bnd LM. as alleged In paragraphs 9 through 53 herein; toAstitute an iUegaJ, Improper o.r perverted use. of process. • 71. ROTHSTEIN, EOW':AROS . and L.M. possessed ulterior motives or p!;rrposes fn :e.xetclslng 'Stlch .. fflegalt'illlprQp.er, or perverted US·e ,of pro¢e$$:. 72, A'S a result of ROTHSTEJN,. EDWARDS and LrvL's actions. EPSTSN suffered damages~ WHEREFQ~j PlaihtifH!PSTEIN resp8$tfu!ly demands the entry of a judgment for ,dama,ges,-agalf.fat aU lhe named· Defendants~ Count IV .. Fraud Against All Defeodants ·n. Plairittff realleges and incorporates paragraphs 1 through ·53 as if ruuy s~t forth heJein. 74. ROTHSTEIN, by and through Defendant EDWARDS and LM .. mada false statements offact to E:PSTt:lN and his attomi3ys and agenµ3, known to be false at the time made, and/or intentlonalry concealed materlai information frorn EPSTEIN and. h.ls· attorneys ·and agents, for the purpose of Inducing EPSTEIN to act in relianc::e 'thereon. 75. EPSTE1N did so act on the misrepresentation and/or concealment by incurring additional attorney's fees, costs, and expenses in .aggresli?ively defending the .civil actions whereas in reauty, because the Civil Actions against Plalntiff were being exploited and over.:iJalued so as to lure ad<1itional investors and to attempt to extort as much money as possible from EPSTEIN so as to continua the massive fraud.
NOT A CERTIFIED COPY Epstein v. RRA.cetat. Page·-35 • WHl:::REFORE Plaintiff EPSTEIN d·emands .judgment against Defendants for darnage~Hncurred and for any other rellefto which,he:is entitled under the Jaw.. ·consptracyto .. CommiU:mud, Against All D.aferiirants ----.... 7G. -Plaintiff realleges and Incorporates paragraphs 1 .througn 53, and 74 and 75 as if ftilly set -forth herein. ii -ROTHSTEIN, EOWARb.S and L.M. oonsphd'td comltjit a ftatrd·opon EPSTEiN. 76. ROTHSTEIN, EDWARDS and L;M. combined by and ihrough. concerted action as·deta:lfed hereto to accompllsh- an unlawful purpose- or ac:complish -some purpose by unli:i,wtW-means. The unlawfUl_purpose was, among other thing~. ,ftie tnihestratlng and continuation of the ma~sive fraudulent P.onzr schema and receipt of. ~nies for the -eontlriuation of the scheme. The uhlawful-means Includes, but is not Hmlted to, the· use -of the ,CMl Aciions against EPSTblN In an unlawful, Improper, and frau.dulentma11ner. 79. As a direct and proximate result of ROT-HSTEINT EDWARDS and L.M.'s conspiracy to defraud EPSTEIN, EPSTEIN suffered damages. WHEREFORE Plaintiff EPSTEIN demands ju_qgment against Defendants for dama9es lnourred and for any other relief to which :he ls=-entitled under the Jaw. Jury.Ttfa1. Pla1rrtiff-demands Jury Trial c;m all tssues so triable. By: - . .ROBERT: ~- t:RJrtbN," JR., E$~ Florida< '·.No. 2241"62
NOT A CERTIFIED COPY Epstetn v. AAA. et &L Page-38 .:rcrlt@bct¢faw.com MIGHAcL J .. :PIK~ .. ESQ. Florida Ba:i-·#617296 mpike@hcif claw:Wm BURll;tAN,, CRITTON, LUTTIER ~ COLEMAN 303 ,Banyan. Blvd., $Uite·400 WestPalm·Bee¢h~ FL 33401 581'"842-2'&20 Fax: 5tU--~58-01$4 (Attom9YSJor Plaintiff) • I i p i ! ; F
NOT A CERTIFIED COPY UNITED STATES DISTRICT COURT SOUTIIERN DISTRICT OF FLORIDA CASE NO. Q9-6033 l-CR-COHN UNITED STA TES OF AMERICA, Plaintiff, V. SCOTT W. ROTHSTEIN, Defendant. ----------~/ PLEA AGREEMENT The United States of America and SCOTT W. ROTHSTEIN (hereinafter referred to as "the defendant") enter into the folJowing agreement: 1. The defendant agrees to plead guilty to the five count Information, which charges the defendant in Count 1 with a Racketeering Conspiracy, in violation of Title 18, United States Code, Section 1962( d); in Count 2 with Conspiracy to Commit Money Laundering, in violation of Title 18, United States Code, Section l 956(h); in Cowit 3 with Conspiracy to Commit Mail Fraud and Wire Fraud, in violation of Title 18, United States Code, Section 1349; and in Counts 4 and 5 with Wire Fraud, in violation of Title I 8, United States Code, Section 1343. 2. The defendant is aware that the sentence will be imposed by the Court after considering the Federal Sentencing Guidelines and Policy Statements (hereinafter .. the Sentencing Guidelines") in an advisory capacity. The defendant acknowledges and understands that the Court wilJ compute an advisory sentence under the Sentencing Guidelines and that the applicabJe advisory guidelines will be detennined by the Court relying in part on the results of a Pre-Sentence Investigation by the Court's probation office, which investigation will commence after the guilty plea EXHIBITP
NOT A CERTIFIED COPY has been entered. The defendant is also aware that, under certain circumstances, the Court may depart from the applicable advisory guideline range and impose a sentence that is either more severe or less severe than the advisory guidelines range. The Court is pennitted to tailor the ultimate sentence in light of other statutory concerns. Knowing these facts, the defendant understands and acknowledges that the Court has the authority to impose any sentence within and up to the statutory maximum authorized by law for the offenses identified in paragraph 1 and that the defendant may DQ.t withdraw the plea solely as a result of the sentence imposed. 3. The defendant also understands and acknowledges that the Court may impose a statutory maximum tenn ofimprisonment ofup to twenty years for each of the offenses set forth in Counts 1 through 5, for a total ofup to one hundred years, followed by a tenn of up to three years of supervised release for each offense. In addition to a tenn of imprisonment and supervised release, the Court may impose a fine of up to $250,000.00 with respect to the offenses set forth in Counts 1, 3, 4, and 5, and may impose a fine with respect to the offense set forth in Count 2 of the greater of $500,000.00 or twice the value of the property involved in the money laundering transactions. 4. The defendant further understands and acknowledges that, in addition to any sentence imposed under paragraph 3 of this agreement, a special assessment in the amount of $100.00 with respect to each of the offenses set forth in counts I through 5, for a total of $500.00, will be imposed on the defendant, which will be paid by the defendant at the time of entry of this plea. 5. The defendant further understands and acknowledges that, in addition to any sentence imposed under paragraphs 3 and 4 of this agreement, that restitution may be imposed as part of that sentence. The defendant agrees that for purposes of triggering...
NOT A CERTIFIED COPY guilty under this agreement in this case are .. offenses against property" and were "committed by fraud and deceit," as those terms are understood within Title 18, United States Code, Section 3663A( c )(1 )(A)(ii). The defendant accordingly understands and acknowledges that as a result of his plea of guilty pursuant to the terms of the plea agreement in this case the Court may order that he pay restitution pursuant to the provisions of Title 18, United States Code, Sections 3663A and 3664. Promptly following the entry of his guilty plea, the defendant agrees to take all necessary steps to make the following property available, as partial satisfaction of any restitution order entered in this case: (a) all property subject to the post-Information Protective Order in this matter; and (b) all property identified in the Bill of Particulars for Forfeiture. 6. The defendant further understands and acknowledges that, in addition to any sentence imposed under paragraphs 3, 4 and 5 of this agreement, forfeiture may be imposed as part of that sentence. The defendant agrees to the forfeiture of all of his right, title and interest to all assets listed in the Information and listed in the Bill of Particulars, and/or their substitutes (hereinafter "the assets"), whether controlled individually or through defendant's wholly owned or partially owned corporations or third-parties, which are subject to forfeiture pursuant to Title 18, United States Code, Sections 1963, 982(aX1) and/or 98l(a)(l)(C). The defendant agrees to assist the United States in achieving forfeiture of the assets and agrees to assist the United States with forfeiture of same, such assistance to include truthful testimony, especially to the extent that the assets are in the names of corporations or other entities or individuals. The defendant knowingly and voluntarily waives any right to a jury trial or any other adversarial proceeding regarding the assets and waives any n...
NOT A CERTIFIED COPY e or judicial. The defendant also waives any defenses to the forfeiture, excessive fine or penalty under the Eighth Amendment. The defendant also peal of the forfeiture. The defendant further acknowledges that the property • in whole or in part, be used to satisfy any obligation the defendant may have r local taxes, interest and/or other penalties which may now exist or which ce. flee of the United States Attorney for the Southern District of Florida :e") reserves the right to infonn the Court and the probation office of all facts icing process, including all relevant information concerning the offenses :barged or not, as well as concerning the defendant and the defendant's :>nly to the express tenns of any agreed-upon sentencing recommendations :ment, this Office further reserves the right to make any recommendation as ttity of punishment. ited States agrees that it will recommend at sentencing that the Court reduce iiOfY sentencing guideline level applicable to the defendant• s offense, pursuant the Sentencing Guidelines, based upon the defendant's recognition and acceptance of personal responsibility. However, the United States will not is sentencing recommendation if the defendant: ( 1) fails or refuses to make 1lete disclosure to the probation office of the circumstances surrounding the 1ct; (2) is found to have misrepresented facts to the government prior to ment; or (3) commits any misconduct after entering into this plea agreement, 4 whether administrativ including any claim of agrees to waive any a; forfeited cannot, eithei for any federal, state c may come into existe11 7. The 01 (hereinafter "this Offic pertinent to the sentei committed, whether c background. Subject , contained in this agree to the quality and quar 8. The Un by three levels the advii to Section 3E1.l of 1 affinnative and timely be required to make th full, accurate and com] relevant offense condi entering this plea agree
NOT A CERTIFIED COPY including but not limited to committing a state or federal offense or making false statements or misrepresentations to any governmental entity or official. 9. The defendant is aware that the sentence has not yet been detennined by the Cow1. The defendant also is aware that any estimate of the probable sentencing range or sentence that the defendant may receive, whether that estimate comes from the defendant's attorney. the government, or the probation office, is a prediction, not a promise, and is not binding on the government, the probation office or the Court. The defendant understands further that any recommendation that the government makes to the Court as to sentencing, whether pursuant to this agreement or otherwise, is not binding on the Cowt and the Court may disregard the recommendation in its entirety. The defendant understands and acknowledges, as previously acknowledged in paragraph 2 above, that the defendant may not withdraw his plea based upon the Court's decision not to accept a sentencing recommendation made by the defendant, the government, or a recommendation made jointly by both the defendant and the government. 10. In the event that the applicable offense level is deemed by the Court to be 43 or above (life), the government agrees to not oppose a variance; however, the Government reserves the right to oppose any sentence recommended by the defendant. 11. This agreement resolves the defendant's federal criminal liability in the Southern District of Florida growing out of any criminal conduct by the defendant known to the United States Attorney's Office for the Southern District of Florida as of the date of this plea agreement. Said provision does not prohibit potential prosecution for any acts of violence presently unknown to the United States. 5
NOT A CERTIFIED COPY 12. The United States agrees that it will not oppose defendant's request that the Court recommend to the BW'Cau of Prisons that the defendant be designated to the lowest security level faciJity deemed appropriate by the Bureau of Prisons. 13. The defendant is aware that Title 18, United States Code, Section 3742 affords the defendant the right to appeal the sentence imposed in this case. Acknowledging this. and in exchange for the undertakings made by the United States in this plea agreement, the defendant hereby waives all rights conferred by Section 3742 to appeal any sentence imposed. including any restitution order, or to appeal the manner in which the sentence was imposed, unless the sentence exceeds the maximum pennitted by statute or is the result of an upward departure and/or a variance from the guideline range that the court establishes at sentencing. The defendant further understands that nothing in this agreement shall affect the government's right and/or duty to appeal as set forth in Title 18, United States Code, Section 3742(b). However, if the United States appeals the defendant's sentence pursuant to Section 3742(b), the defendant shall be released from the above waiver of appellate rights. By signing this agreement, the defendant acknowledges that he has discussed the appeal waiver set forth in this agreement with his attorney. The defendant further agrees, together with the United States, to request that the district court enter a specific finding that the defendanCs waiver of his right to appeal the sentence to be imposed in this case was knowing and voluntary. 14. The defendant further waives any right to file any motion or make any claim, whether under 28 U.S.C. §§2255, 2254, 2241, or any other provision of law, to collaterally attack his conviction, his sentence, or the manner in which sentence was imposed, unless the sentence exceeds the maximum permitted by statute. 6
NOT A CERTIFIED COPY 15. The defendant confinns that he is guilty of the offenses to which he is pleading guilty; that his decision to plead guilty is the decision that he has made; and that nobody has forced, threatened, or coerced him into pleading guilty. The defendant affirms that he has discussed the matter of pleading guilty in the above-referenced cases thoroughly with his attorney. The defendant further affinns that his discussions with his attorney have included discussion of possible defenses that he may raise if the case were to go to trial, as well as possible issues and arguments that he may raise at sentencing. The defendant additionally affirms that he is satisfied with the representation provided by his attorney. The defendant accordingly affinns that he is entering into this agreement knowingly, voluntarily, and intelligently, and with the benefit of full, complete, and effective assistance by his attorney. The defendant accordingly agrees that by entering into this agreement he 7
NOT A CERTIFIED COPY
waives any right to file any motion or make any claim, whether under 28 U.S.C.§§2255, 2254, 2241,
or any other provision of law, that contests the effectiveness of counsel's representation up to the
time of the entry of his guilty plea.
16.
This is the entire agreement and understanding between the United States and the
defendant. There are no other agreements, promises, representations~ or understandings, unless
contained in a Jetter from the United States Attorney's Office executed by all parties and counsel
prior to the change of plea.
Date: / µiJ,... j, v
Date: 19-{lfl>
Date:#/1)
Dare,J/ir/v
JEFFREY H. SLOMAN
UNITED STA TES ATTORNEY
PAUL F. SCHWARTZ
ASSISTANT UNITED STATES A TIORNEY
ASSISTANT UNITED STATES ATTORNEY
. LaVECCHIO
UNITED STATES ATTORNEY
TI W. ROTHSTEIN
DEFENDANT
8
NOT A CERTIFIED COPY STATEMENT OF FACTS The United States of America and SCOTT W. ROTHSTEIN enter into the following stipulated statement of facts in support of the defendant's plea of guilty: Had this case proceeded to trial, the government would have presented evidence which would have established beyond a reasonable doubt that from in or about 2005, through in or about November 2009, Defendant ROTHSTEIN conspired with persons known and unknown to the United States Attorney, to use the law finn, Rothstein, Rosenfeldt and Adler P.A. (hereinafter referred to as "RRA") as a criminal Enterprise in order to conduct a pattern of racketeering activity. Such pattern of racketeering activity included criminal acts which violated mail fraud, wire fraud, money laundering and conspiracy statutes. The government would have presented evidence at trial which would have involved witness testimony and documentary and electronic evidence seized pursuant to a search warrant. The government's trial evidence would have established the following: Defendant ROTHSTEIN was an attorney admitted to practice law in Florida. He was the Chief Executive Officer and Chainnan of RRA. In or about 2005, Defendant ROTHSTEIN and other co-conspirators initiated a scheme to generate criminal proceeds through fraudulent acts. Defendant ROTHSTEIN induced investors through the use of false statements to loan money to himself and fictitious borrowers in return for promissory notes. He solicited bridge loans on behalf of purported clients of RRA, that ist he would falsely infonn individuals that clients of RRA desired to borrow funds for undisclosed business deals and in return would agree to pay high rates of interest. Defendant ROTHSTEIN was aware that no such cJients or requests for business financing actually existed. Defendant ROTHSTEIN and co-conspirators also solicited investors to purchase purported 1
NOT A CERTIFIED COPY confidential settlement agreements. Such settlement agreements were falsely presented as having been reached between putative defendants based upon claims of sexual harassment and/or whistle- blower actions. The investors were falsely infonned that such settlement agreements were pre- litigation and therefore there was no pending litigation or court oversight. Defendant ROTHSTEIN and other co-conspirators relied upon the purported success of RRA, the existence of actual RRA civil matters and his standing in the community to lure potential investors in order to convince them to make such investments. The investors were falsely informed that the confidential settlement agreements were available for purchase. The purported settlements were allegedly available in amounts ranging from hundreds of thousands of dollars to millions of dollars and could be purchased at a discount and repaid to the investors at face value over time. For instance, in or about late 2009, a potential investor was solicited by Defendant ROTHSTEIN and/or co-conspirators to purchase a purported settlement in the amount of $450,000. The settlement was alleged to be paid to the purported plaintiff in three installments of $150,000 each, over the course of three months. The payment schedule was alleged to insure the confidentiality of the settlement. The purported plaintiff allegedly had agreed to accept an immediate payment of $375,000 in satisfaction of the settlement agreement. In order to facilitate the scheme, the investor received a fraudulent settlement agreement which set fonh the terms of the civil settlement, but the names of the purported plaintiff and defendant were excised due to the alleged confidentiality of the settlement. The government would further establish that in order to facilitate and perpetrate the scheme, Defendant ROTHSTEIN and co-conspirators created false and fraudulent settlement agreements, bank statements, assignments of settlement...
NOT A CERTIFIED COPY Defendant ROTHSTEIN and other co-conspirators falsely infonned investors that the purported confidential settlements were either negotiated on behalf of clients of RRA or had been referred by other law firms. The investors were falsely informed that the purported settlements were based upon sexual harassment and/or whistle-blower ( qui-tam) actions against corporate defendants. Defendant ROTHSTEIN and other co-conspirators established and maintained trust accounts at several fmancial institutions in order to receive the investor funds and to give the appearance of legitimacy and security. False and fictitious trust account bank balance statements were created along with purported "lock letters." Such letters allegedly reflected that the funds in the trust accounts would be disbursed only to specific investors. lnstead funds were disbursed among and between the various trust accounts and elsewhere by interstate wire transfers and other means in order to facilitate, promote and conceal the fraud, to launder the proceeds derived therefrom, and to enrich ROTHSTEIN and his co-conspirators. ROTHSTEIN and his co-conspirators created fraudulent on-line banking documents to further mislead investors and to facilitate the fraud. Defendant ROTHSTEIN and co-conspirators also initiated and conducted a separate scheme to defraud clients ofRRA in order to perpetuate the "Ponzi" scheme. Such clients had retained RRA to institute and file a civil lawsuit. Unknown to the clients, RRA settled the lawsuit and had obligated the clients to pay $500;000 to the defendant. In order to perpetrate the fraud and deceive the clientst defendant ROTHSTEIN created a false and fraudulent court order purportedly signed by a Federal District Court Judge which falsely alleged that the clients of RRA had prevailed in the lawsuit and were owed a judgement of approximately $23 million. The fraudulent court order also falsely stated that the defendant had transferr...
NOT A CERTIFIED COPY Defendant ROTHSTEIN and other co-conspirators falsely advised the clients on several occasions that in order to recover the defendant, s funds, they had to post bonds to be held in the RRA trust account. Defendant ROTHSTEIN and other co-conspirators fraudulently caused the clients to wire transfer a total of approximately $57 million over several years to a trust account controlled by defendant ROTHSTEIN, purportedly to satisfy the bonds. Defendant ROTHSTEIN and other co-conspirators were questioned by the clients as to the progress of the alleged lawsuit. In order to delay the return of funds to the clients, defendant ROTHSTEIN fraudulently created a false Federal court order purportedly issued by a United States Magistrate Judge ordering RRA to return the transmitted funds by a later date. Defendant ROTHSTEIN and other co-conspirators utilized funds obtained through the "Ponzi" scheme to supplement and support the operation and activities ofRRA, to expand RRA by the hiring of additional attorneys and support staff, to fund salaries and bonuses. and to acquire larger and more elaborate office space and equipment in order to promote the ongoing scheme and to enrich the personal wealth of persons employed by and associated with RRA. Defendant ROTHSTEIN and other co-conspirators engaged in the below described conduct in order to facilitate the activities of the Enterprise and to conceal and promote the scheme to defraud investors. Defendant ROTHSTEIN and other co-conspirators utilized funds illegally obtained through the "Ponzi" scheme to make political contributions to local, state and federal political candidates, in a manner designed to conceal the true source of such funds and to circumvent state and federal laws governing the limitations and contribution of such funds. 4
NOT A CERTIFIED COPY Defendant ROTHSTEIN and other co-conspirators distributed lavish gifts, including exotic cars, jewelry, boats, loans, cash and bonuses, to individuals and to members of RR.A in order to engender goodwiJI and loyalty and to create the appearance of a successful law firm. Defendant ROTHSTEIN and other co•conspirators made large charitable contributions to public and private charitable institutions, including hospitals and other legitimate charitable and nonprofit organizations, using funds derived from the "Ponzi" scheme. "Ponzi" scheme funds were also used to provide gratuities to high•ranking members of police agencies in order to curry favor with such police personnel and to deflect Jaw enforcement scrutiny of RRA. Defendant ROTHSTEIN and other co-conspirators utilized funds obtained through the ~'Ponzi" scheme in order to purchase controlling interests in restaurants located in the Southern District of Florida. Such restaurants were used in part as a mechanism to give gratuities to individuals, including politicians, business associates and attorneys, in order to foster goodwill and loyalty, as locations to solicit potential investors and as secure locations for conspiratorial meetings. Defendant ROTHSTEIN and other co-conspirators associated with well known politicians, in public forums and elsewhere, in order to gain greater notoriety and to create the appearance of wealth and legitimacy. Such acts were calculated in part to enhance defendant ROTHSTEIN and other co-conspirators' ability to solicit potential investors in the uponzi" scheme. Defendant ROTHSTEIN and other co-conspirators used funds derived from the "Ponzi" scheme to maintain the appearance of affluence and wealth, by purchasing expensive real and personal property. in order to convince potential investors of the legitimacy of RRA and of the purported investment opportunities. Defendant ROTHSTEIN purchased expensive real property, personal property, business...
NOT A CERTIFIED COPY The government's evidence would establish that Defendant ROTHSTEIN and co- conspirators, through the use of RRA as the criminal Enterprise, knowingly and intentionally engaged in the above-described pattern of racketeering activity in order to generate proceeds for their enrichment through various criminal activities, including mail fraud, wire fraud and money laundering, The government's evidence would establish that the activities of the Enterprise affected interstate commerce through the transmission of funds among and between financial institutions and across state boundaries, among other means. The Enterprise maintained offices in Broward County, Florida, and elsewhere and the pattern of racketeering activity emanated from the Southern District of Florida. Investors were solicited through wire and mail transmissions through the United States and elsewhere. In order to further the fraud scheme, Defendant ROTHSTEIN and other co-conspirators caused to be transmitted wire communications; in interstate and foreign commerce, including an interstate wire transfer sent from TD Bank to Gibraltar Bank on or about December 2, 2008 and an interstate wire transfer sent to TD Bank from JP Morgan Chase on or about October 16, 2009. The proceeds derived from the ''Ponzi" scheme were laundered through the accounts maintained at several financial institutions in order to promote. cany on and conceal the criminal activities of RRA. Had the forfeiture portion of the case proceeded to trial, the government would have established, at least by a preponderance of the evidence, the standard of proof required for sentencing, that the properties listed for forfeiture in the forfeiture allegations of the Information and in the Bill of Particulars for Forfeiture, were properly sought for forfeiture because the defendant acquired or maintained an interest therein or were derived from proceeds obtained directly and indirectly through the commission of...
NOT A CERTIFIED COPY money laundering activity described above, and that such properties were also the proceeds of, or were derived from, the mail and wire fraud activity described above. The undersigned hereby stipulate and agree that the aforesaid facts are true and correct and that they encompass all of the necessary elements to establish the guilt of the defendant to the charges of Conspiracy to Violate the RICO Act, in violation of Title 18, United States Code, Section 1962(d); Conspiracy to Commit Money Laundering, in violation of Title 18, United States Code, Section l 956(h); Conspiracy to Commit Mail Fraud and Wire Fraud, in violation of Title 18, United States Code, Section 1349; and Wire Fraud, in violation of Title 18, United States Code, Section 1343. Date:#fo Date:~t; Date:X.J,i._/d DaJ.e:)23/1,f) Date: 1/ 1-cl(O JEFFREY H. SLOMAN UNITED STA TES A ITORNEY /2~(}~ PAUL F. SCHWARTZ SIST ANT UNITED ST ATES A TIORNEY W. ROTHSTEIN DEFENDANT 7 ATES A TfORNEY SATTORNEY
NOT A CERTIFIED COPY INRE: UNITED STATES BANKRUPTCY COURT SOUTHERN DISTRICT OF FLORIDA FORT LAUDERDALE DIVISION www.flsb.uscourts.gov ROTHSTEIN ROSENFELDT ADLER, P.A .• Debtor. CASE NO.: 09-34791-RBR CHAPTER 11 I ------------ PRIVILEGE LOG FARMER, JAFFE, WEISSING, EDWARDS, FISTOS & LEHRMAN Dated: February 23, 2011 Total of 159 pages EXHIBITQ
NOT A CERTIFIED COPY Privilege Log- Dated 2-23-2011 Farmer. Jaffe, Weissing. Edwards. Fistos & Lehrman BATES DATE TO FROM DESCRIPTION OBJECTION 08076-08089 08/04/2009 Bradley Edwards Spencer Kuvin Transcript of Alfredo Rodriguez Joint W/P Priv. Deposition 08311-08318 05/26/2009 Bradley Edwards Katherine Ezell WPB-Confidential-General- Joint W/P Priv. Financial Disclosure/Discovery 08319-08324 10/16/2009 Bradley Edwards Amy Ederi WP B-Ge neral--Confid ential Joint W/P Prlv. 08398 09/01/2009 Bradley Edwards Kikka Claudio C.M.A. vs. Epstein, et Joint W/P Priv. al.(File#:281849) 08402 09/17/2009 Bradley Edwards Paul Cassell Report this as a parole violation Joint W/P Priv. 08415 09/16/2009 Bradley Edwards Margaret Berk Scanned document from Joint W/P Priv. Margaret Berk 08422 08/11/2009 Bradley Edwards Katherine Ezell Subpoena directed to the Joint W/P Priv. investigators 10060 08/03/2009 Adam Horowitz Jacquie Johnson Epstein-Depa-New York Joint W/P Priv. 10069-10074 08/04/2009 Bradley Edwards Spencer Kuvin RE:Transcript of Alfredo Joint W/P Priv. Rodriguez Deposition 10077-10079 08/06/2009 Bradley Edwards Mercedes Estrada RE:Epstein vs. Jane Doe No.101 Joint W/P Priv. & Epstein vs. Jane doe No. 102 10099·10102 08/27/2009 Bradley Edwards Spencer Kuvin RE: Epstein Depo Joint W/P Priv. 10192 08/11/2009 Adam Horowitz Jacquie Johnson Trump Depo moved 08/18 to Joint W/P Priv. 9/24 in NY 10194-10195 08/11/2009 Jacquie Johnson Kikka Claudio FW: Out of state subpoenas Joint W/P Priv. 10264-10266 08/09/2009 Adam Horowitz Jacquie Johnson RE:Epstein-Letter regarding Joint W/P Priv. Leslie Wexner 1
NOT A CERTIFIED COPY Privilege Log - Dated 2-23-2011 I I I I Farmer Jaffe Weissin.e: Edwards Fistos & Lehrman BATES DATE TO FROM DESCRIPTION OBJECTION 10279-10291 08/10/2009 Adam Horowitz Jacquie Johnson RE: Epstein-Notice of production Joint W/P Priv. from non parties/depo of Jane Doe 10372-10373 09/17/2009 Bradley Edwards Katherine Ezell RE: Leslie Wexner Joint W/P Priv. 10490-10493 09/21/2009 Bradley Edwards AmyEderi FW: Epstein Depo Joint W/P Priv. 10592-10593 09/29/2009 Bradley Edwards Katherine Ezell RE: Leslie Wexner Joint W/P Priv. 10604-10620 10/01/2009 Bradley Edwards Katherine Ezell FW:meeting w/ atty fr wexner Joint W/P Priv. 10639-10643 10/06/2009 Bradley Edwards Stuart Mermelstein Meeting w/LesJie Wexner Joint W/P Priv. 10700-10702 10/13/2009 Adam Horowitz Jacquie Johnson Depo Joint W/P Priv. 10724-1073 10/14/2009 Adam Horowitz Jacquie Johnson Epstein-de po of Alan Oershowitz Joint W/P Priv. 10897 10/29/2009 Bradley Edwards Stuart Mermelstein Leslie Wexner Joint W/P Priv. 10992-11005 06/22/2009 Bradley Edwards Amy Ederi RE:Regular Monthly Cong. Call Joint W/P Priv. 11011-11021 06/23/2009 Bradley Edwards Katherine Ezell RE:Regular Monthly Cong. Call Joint W/P Priv. 11026-11032 07/09/2009 Bradley Edwards Spencer Kuvin RE:Epstein commissioner Joint W/P Priv. appointees 11072-1107 4 07/28/2009 Bradley Edwards Katherine Ezell Possible witness from Joint W/P Priv. Switzerland 11166-11169 06/23/2009 Katherine Ezell Bradley Edwards RE:Article:Bear Stearns Joint W/P Priv. 2
NOT A CERTIFIED COPY Privilege Log - Dated 2-23-2011 I I I I Farmer Jaffe Weissin2 Edwards Fistos & Lehrman BATES DATE TO FROM DESCRIPTION OBJECTION 11240-11245 06/22/2009 Katherine Ezell Bradley Edwards Article:Bear Stearns Joint W/P Priv. 11248-11250 06/22/2009 Amy Ederi Bradley Edwards Artide:Bear Stearns Joint W/P Priv. 11255-11259 06/23/2009 Katherine Ezell Bradley Edwards USAO Chose Bradley Edwards Joint W/P Priv. conversation 11269-11281 06/30/2009 Stuart Bradley Edwards RE:Epstein Depo;possible Joint W/P Priv. Mermelstein deponents 11316-11319 06/28/2009 Katherine Ezell Bradley Edwards Discussion about possible Joint W/P Priv. witness from Switzerland 11332-11336 08/04/2009 Spencer Kuvin Bradley Edwards FW:Transcript of Alfrefo Joint W/P Priv. Rodriguez Depa and Copperfeild and Clinton's whereabouts 11340-11341 08/05/2009 Mercedes Bradley Edwards RE:Epstein vs.Jane Doe No.101 & Joint W/P Priv. Estrada 102 11348-11358 08/06/2009 Adam Horowitz Bradley Edwards RE:Motion for protective Joint W/P Priv. order/discussion 11430-11434 08/27/2009 Spencer Kuvin Bradley Edwards Discussion RE:Wexner Joint W/P Priv. involvement 11443 09/17/2009 Katherine Ezell Bradley Edwards Wexner served subpoena OH Joint W /P Priv. 11541-11542 09/29/2009 Katherine Ezell Bradley Edwards RE:Leslie Wexner & Bob Joint W/P Priv. 11551-11559 10/01/2009 Spencer Kuvin Bradley Edwards RE:Meeting w.Stanely Arkin Joint W/P Priv. 11585-11586 10/14/2009 Adam Horowitz Bradley Edwards RE:Epstein;larry Visoski Joint W/P Priv. confirmed 11675-11676 10/29/2009 Stuart Bradley Edwards RE:Leslie Wexner attorney info Joint W/P Priv. Mermelstein 3
NOT A CERTIFIED COPY Privilege Log - Dated 2-23-2011 Farmer. Jaffe. Weissinl!. Edwards. Fistos & Lehrman BATES DATE TO FROM DESCRLPTION OBJECTION 15981-15988 08/04/2009 Spencer Kuvin Jacquie Johnson Attachment:KeUen & Trump Joint W/P Priv. subpoena 15999-16007 08/05/2009 Bert Patton Jacquie Johnson RE:Epstein Depo-New York Joint W /P Priv. 16057-16065 08/06/2009 Mercedes Jacquie Johnson Trump and Maxwell Dep dates Joint W /P Priv. Estrada 15918-15949 08/04/2009 Adam Horowitz Jacquie Johnson RE:Epstein Depo's 08/14,17,18 in Joint W/P Priv. NY&OH 16066-16069 08/06/2009 Adam Horowitz Jacquie Johnson Maxwell,Trump, Wexner convo Joint W/P Priv. RE:Depo dates 16095-16098 08/11/2009 Adam Horowitz Jacquie Johnson Maxwell, Trumo, Wexner Convo Joint W/P Priv. RE:Depo dates cont .. 15813-15814 10/29/2009 Stuart Bradley Edwards Wexler Lawyer's info Joint W/P Priv. Mermelstein 15856 08/03/2009 Adam Horowitz Jacquie Johnson Epstein Depo-NY;2 Attachments Joint W/P Priv. 15866-15881 08/03/2009 Adam Horowitz Jacquie Johnson Epstein Depos 08/14,17,18 in Joint W/P Priv. NY&OH/PDF of Sarah Kellen Notice of Videotaped Depa 15893-15901 08/03/2009 Kikka Claudio Jacquie Johnson Depo &subpoena notice for Joint W/P Priv. Trump 15360-15363 09/01/2009 Jacquie Johnson Mercedes Estrada RE:Alan Dershowitz;Harvard Law Joint W/P Priv. Info 15394-15397 09/09/2009 Jacquie Johnson Katherine Ezell RE:Epstein-Depos of Marcinkova Joint W/P Priv. & Sarah Kellen 15413-15428 09/10/2009 Adam Horowitz Jacquie Johnson RE:Esptein-Notice of Prodcution Joint W/P Priv. from Non Parties 15434-15437 09/10/2009 Jacquie Johnson Katherine Ezell Notice Of Production from Non- Joint W/P Priv. Parties discussion 4
NOT A CERTIFIED COPY Privilege Log - Dated 2-23-2011 Farmer. Jaffe Weissine:. Edwards. Fistos & Lehrman ' BATES DATE TO FROM DESCRIPTION OBJECTION 154S4-15475 09/15/2009 Adam Horowitz Jacquie Johnson Critton's notice of depo;Epstein Joint W/P Priv. notice of hearing,Mark Epstein notice of depo 01465 07/13/2009 Katherine Ezell Bradley Edwards Epstein Joint W/P Priv. 1S485-15492 09/17/2009 Jacquie Johnson Mercedes Estrada RE:Epstein Depo Joint W/P Priv. 15493-15500 09/18/2009 Jacquie Johnson Katherine Ezell RE:Deposition of Jean Luc Joint W/P Priv. Bruhnel 15501-15555 09/18/2009 Jacquie Johnson Adam Horowitz RE:Epstein Depo Joint W/P Priv. 15556-15564 09/22/2009 Jacquie Johnson Margaret Berk Epstein Depos Joint W/P Priv. 15565-15575 09/25/2009 Jacquie Johnson Lisa Rivera FW:Deposition of Jean Luc Joint W/P Priv. Bruhnel 15687-15688 10/01/2009 Jacquie Johnson Lisa Rivera Depo of David Hart Rogers Joint W/P Priv. 15692-15707 10/01/2009 Jacquie Johnson Katherine Ezell FW:Meeting w/SranJey Arkin Joint W/P Priv. 15708-15709 10/06/2009 Jacquie Johnson Mercedes Estrada RE:Jane Does 2-8v. Epstein-Cross Joint W/P Priv. Nod's of Oct 6-8 depos 15033-15032 08/05/2009 Jacquie Johnson Mercedes Estrada RE;Epstein-Depo for 8/17 Joint W/P Priv. 15087-15093 08/06/2009 Jacquie Johnson Mercedes Estrada RE:Epstein-Depo for 8/17 Joint W/P Priv. 15094-15100 08/06/2009 Jacquie Johnson Kikka Claudio RE:Epstein Depo-New York Joint W/P Priv. 15109-15112 08/10/2009 Jacquie Johnson Adam Horowitz RE:Epstein Depositions for Joint W/P Priv. 8/14,17,18 in NY & OH 5
NOT A CERTIFIED COPY Privilege Log - Dated 2-23-2011 I I I I Farmer Jaffe Weissintz Edwards Fistos & Lehrman BATES DATE TO FROM DESCRIPTION OBJECTION 15122-15125 08/11/2009 Jacquie Johnson Kikka Claudio RE: Ms. Maxwell Depa Joint W/P Priv. rescheduled 15142-15158 08/11/2209 Bradley Edwards Kikka Claudio FW:out of state subpoenas Joint W/P Priv. 15166-15170 08/11/2009 Jacquie Johnson Kikka Claudio RE:out of state subpoenas Joint W/P Priv. 15171-15172 08/11/2009 Jacquie Johnson Kikka Claudio RE:Epstein Joint W/P Priv. 15178-15182 08/12/2009 Jacquie Johnson Kikka Claudio RE:Epstein Joint W/P Priv. 15306-15355 08/25/2009 Jacquie Johnson Kikka Claudio FW:Epstein Depo Notices & Subs Joint W/P Priv. 14951-14952 08/03/2009 Jacquie Johnson Kikka Claudio RE:Epstein Depo-New York Joint W/P Priv. 14954-14972 09/16/2009 Adam Horowitz Jacquie Johnson RE:Epstein-Depo of Mark Epstein Joint W/P Priv. on 9/21 in NY will take place as scheduled 14979-14981 08/03/2009 Jacquie Johnson Kikka Claudio RE:Epstein Depo-New York Joint W/P Priv. 14983-15015 08/04/2009 Jacquie Johnson Adam Horowitz RE:Epstein Depositions 8/14.17, Joint W/P Priv. &18 in NY& OH 16501-16519 09/15/2009 Adam Horowitz Jacquie Johnson Epstein Hearing Joint W/P Priv. 16520-1654 7 09/09/2009 Spencer Kuvin Jacquie Johnson RE: Epstein-Deposition of Jane Joint W/P Priv. Doe-9/30/2009 16355-16384 08/24/2009 Adam Horowitz Jacquie Johnson Epstein Depo Notices and Subs Joint W/P Priv. 16554-16568 09/16/2009 Kikka Claudio Jacquie Johnson RE:Epstein Depo Joint W/P Priv. 6
NOT A CERTIFIED COPY Privilege Log - Dated 2-23-2011 Farmer. Jaffe. Weissimr. Edwards. Fistos & Lehrman BATES DATE TO FROM DESCRIPTION OBJECTION 16574-16577 09/17/2009 Adam Horowitz Jacquie Johnson RE:Epstein Depo Joint W/P Priv. 16396-16398 09/01/2009 Margaret Estrada Jacquie Johnson Alan Dershowitz Joint W/P Priv. 16578-16581 09/17/2009 Katherine Ezell Jacquie Johnson RE:Depo Joint W/P Priv. 16582-16585 09/18/2009 Adam Horowitz Jacquie Johnson RE:Deposition of Jean Luc Joint W/P Priv. Bruhnel 1658S-16611 09/18/2009 Adam Horowitz Jacquie Johnson RE:Epstein Depo Joint W/P Priv. 16612-16439 09/18/2009 Adam Horowitz Jacquie Johnson RE:Epstein Depo of Mark Epstein Joint W/P Priv. 16440 08/18/2009 Spencer Kuvin Jacquie Johnson RE:Epstein Sub to Bear Stearn Joint W/P Priv. 16740-16753 09/22/2009 Margaret Berk Jacquie Johnson RE:Epstein Depos Joint W/P Priv. 16443-16452 09/09/2009 Katherine Ezell Jacquie Johnson RE:Epstein-Depos of Marcinkova Joint W/P Priv. & Sarah Keller 16777-16 786 09/30/2009 Adam Horowitz Jacquie Johnson RE:Epstein Joint W/P Priv. 16793-16794 10/01/2009 Lisa Rivera Jacquie Johnson RE:Depo of David Hart Rogers Joint W/P Priv. 16462-16477 09/10/2009 Adam Horowitz Jacquie Johnson RE:Epstein-Notice of Production Joint W/P Priv. from Non Parties 16802-16823 10/02/2009 Margaret Berk Jacquie Johnson RE:Epstein depos Joint W/P Priv. 16483-16486 09/10/2009 Katherine Ezell Jacquie Johnson RE:Epstein-Notice of Production Joint W/P Prlv. from Non Parties 7
NOT A CERTIFIED COPY Privilege Log-Dated 2-23-2011 I I I I Farmer Jaffe Weissine: Edwards Fistos & Lehrman BATES DATE TO FROM DESCRIPTION OBJECTION 16874-16880 10/13/2009 Adam Horowitz Jacquie Johnson Depo Joint W/P Priv. 16904-16905 10/14/2009 Spencer Kuvin Jacquie Johnson RE:Epstein Joint W/P Priv. 16945 10/26/2009 Kikka Claudio Jacquie Johnson RE:Epstein depos on 10/28 Joint W/P Priv. 17033-17034 10/26/2009 Kikka Claudio Jacquie Johnson RE:Epstein depos on 10/28 Joint W/P Priv. 02065-02068 06/08/2009 Bradley Edwards Mercedes Estrada FW:Epstein-Confirming AT&T Joint W/P Priv. Dial Telephone Conference for Mon 6/8/09 at 2:00 p.m. 02070 09/02/2009 Jacquie Johnson Spencer Kuvln FW:Epstein-Depos of Joint W/P Priv. Marcinkova & Sarah Kellen 02071 08/18/2009 Adam Horowitz Jacquie Johnson RE:Epstein Sub to Bear Sterns Joint W/P Priv. 02072-02078 09/04/2009 Jacquie Johnson Spencer Kuvin FW: Epstein-Depos of Joint W/P Priv. Marcinkova & Sarah Kellen 03466-03468 05/14/2009 Spencer Kuvin Bradley Edwards RE:Actvity in Case 9:08-cv- Joint W/P Priv. 80893-KAM Doe v. Epstein Order on Motion to Stay 02301-02302 09/09/2009 Paul Cassel Bradley Edwards FW:Epstein Joint W/P Priv. 03122-03123 06/10/2009 Adam Horowitz Bradley Edwards FW: Motion to Dismiss Joint W/P Priv. 02805-02806 05/26/2009 Susan Stirling Katherine Ezell RE:WPB-Confidentlal-Genereal- Joint W/P Priv. Financial Disclosure/Discovery 02670-02671 10/21/2009 Bradley Edwards Spencer Kuvin FW:Subpoena Info Joint W/P Priv. 02517-02519 10/02/2009 Bradley Edwards Katherine Ezell FW:Meeting w/Stanley Arkin Joint W/P Priv. 8
NOT A CERTIFIED COPY Privilege Log - Dated 2-23·2011 Farmer. Jaffe Weissine. Edwards. Fistos & Lehrman I BATES DATE TO FROM DESCRIPTION OBJECTION 02614-02617 08/05/2009 Bradley Edwards Kikka Claudio FW:Proposal Request Joint W/P Priv. 15702-15704 10/02/2009 Bradley Edwards Katherine Ezell FW:Meeting w/Stanley Arkin Joint W/P Priv. 15581-15585 09/28/2009 Bradley Edwards Amy Ederi FW:Epstein Depa Joint W/P Priv. 15431-15433 09/10/2009 Adam Horowitz Jacquie Johnson RE:Epstein-Notice of Production Joint W/P Priv. from Non Parties 15797-15798 10/14/2009 Spencer Kuvin Bradley Edwards RE:Epstein Joint W/P Priv. 11560-11562 10/02/2009 Bradley Edwards Katherine Jacquie FW:Meeting w/Stanley Arkin Joint W/P Priv. Johnson 11444-11448 09/28/2009 Bradley Edwards Amy Ederi FW:Epstein Depa Joint W/P Priv. 05823 09/04/2009 Adam Horowitz Jacquie Johnson RE:Epstein Joint W/P Priv. 05832 09/08/2009 Adam Horowitz Jacquie Johnson RE:Epstein Joint W/P Priv. 05838 09/08/2009 Jacquie Johnson Jack Hill RE:Epstein Joint W/P Priv. 05847 09/09/2009 Jacquie Johnson Katherine Ezell RE:Epstein Joint W/P Priv. 05859 07/23/2009 Bradley Edwards Katherine Ezell RE:Epstein Joint W/P Priv. 05863-05864 07/23/2009 Bradley Edwards Katherine Ezell RE:Epstein Joint W/P Priv. 05886-05887 07/24/2009 Bradley Edwards Katherine Ezell RE:Epstein Joint W/P Priv. 9
NOT A CERTIFIED COPY Privilege Log- Dated 2-23-2011 I I I I Farmer Jaffe Weissine: Edwards Fistos & Lehrman BATES DATE TO FROM DESCRIPTlON OBJECTION 05902-05903 07/28/2009 Bradley Edwards Katherine Ezell RE:Epstein Joint W/P Priv. 05906-05907 07/28/2009 Bradley Edwards Katherine Ezell RE:Epstein Joint W/P Priv. 05912 08/27/2009 Bradley Edwards Spencer Kuvin RE:Epstein Joint W/P Priv. 05928-05930 07/28/2009 Bradley Edwards Katherine Ezell RE:Epstein Joint W/P Priv. 05933-05934 09/18/2009 Bradley Edwards Spencer Kuvin RE:Epstein Joint W/P Priv. 05936 09/18/2009 Bradley Edwards Spencer Kuvin RE:Epstein Joint W/P Priv. 05938 09/18/2009 Bradley Edwards Adam Horowitz RE:Epstein Joint W /P Priv. 05940-05941 09/18/2009 Bradley Edwards Spencer Kuvin RE:Epstein Joint W/P Priv. 05951 05/29/2009 Bradley Edwards Spencer Kuvin RE:Epstein Joint W/P Priv. 05957-05960 09/09/2009 Bradley Edwards Kikka Claudio RE:Epstein Joint W/P Prlv. 05970-05971 10/21/2009 Jacquie Johnson Margaret Berk RE:Epstein Joint W/P Priv. 05982-05983 10/28/2009 Bradley Edwards Spencer Kuvin RE:Epstein Joint W/P Priv. 05993-05994 09/09/2009 Bradley Edwards Adam Horowitz RE:Epstein Joint W/P Priv. 05997 08/06/2009 Bradley Edwards Kikka Claudio RE:Epsteln Joint W/P Priv. 10
NOT A CERTIFIED COPY Privilege Log- Dated 2-23-2011 I I I I Farmer Jaffe Weissin2 Edwards Fistos & Lehrman BATES DATE TO FROM DESCRIPTION OBJECl'ION 01029 10/08/2009 Bradley Edwards Carolyn Edwards Brian Ryalls Joint W /P Priv. 07707 09/03/2009 BradleyEdwards Kikka Claudio RE:Regarding:C.M.A. vs. Epstein. Joint W/P Priv. Et al.(File# 281849} 07708-07709 06/22/2009 Bradley Edwards Amy Ederi RE:Regular Monthly Cong. Call Joint W/P Priv. 07734 07/24/2009 Jessica Caldwell Bradley Edwards RE:Release Joint W/P Priv. 07218-07219 10/02/2009 Bradley Edwards Katherine Ezell RE:Meeting w/Stanley Arkin Joint W /P Priv. 06861-06863 05/12/2009 Bradley Edwards Katherine Ezell RE:Jane Doell v. Epstein Joint W/P Priv. 06876-06879 05/12/2009 Bradley Edwards Stuart Mermelstein RE:Jane Doe II v. Epstein Joint W/P Priv. 06891-06897 05/12/2009 Bradley Edwards Katherine Ezell RE:Jane Doe II v. Epstein Joint W /P Priv. 06901 09/11/2009 Bradley Edwards Mercedes Estrada Re:Jane Doe No. 101 & Jane Doe Joint W/P Priv. No. 102 vs. Epstein-Cross Notice Of Depos 06902 09/15/2009 Bradley Edwards Mercedes Estrada RE: Jane Doe No.101 & Jane Doe Joint W/P Priv. NO.102 vs. Epstein 06903 09/04/2009 Bradley Edwards Mercedes Estrada RE: Jane Doe No.101 & Jane Doe Joint W/P Priv. NO.102 vs. Epstein-Cross-Notice of Taking Video Deposition 06806-06807 09/09/2009 Bradley Edwards Adam Horowitz RE:Epstein Joint W/P Priv. 06712 10/19/2009 Bradley Edwards Kikka Claudio RE: lgor Zinoview depo Joint W/P Priv. 06713-06714 09/15/2009 Bradley Edwards Robert Josefberg RE:Epstein Joint W/P Priv. 11
NOT A CERTIFIED COPY Privilege Log - Dated 2-23-2011 I I I I Farmer Jaffe Weissine: Edwards Fistos & Lehrman BATES DATE TO FROM DESCRIPTION OBJECTION 06720-06727 10/14/2009 Bradley Edwards Jack Hill RE: Igor Zinoview depo Joint W/P Priv. 06728 09/09/2009 Bradley Edwards Kikka Claudio RE:Epstein Joint W/P Priv. 06711 09/09/2009 Kikka Claudio Bradley Edwards RE:Epstein Joint W/P Priv. 06472 05/08/2009 Spencer Kuvin Bradley Edwards RE:FYI Epstein Depa Joint W /P P riv. 06460-06464 05/08/2009 Bradley Edwards Spencer Kuvin RE:FYI Epstein Depa Joint W/P Priv. 06455-06459 05/08/2009 Spencer Kuvin Bradley Edwards RE:FYI Epstein Depo Joint W/P Priv. 06448-06452 05/08/2009 Spencer Kuvin Bradley Edwards RE:FYI Epstein Depa Joint W/P Priv. 06420-06427 05/08/2009 Spencer Kuvin Bradley Edwards RE:FYI Epstein Depo .loint W /P Priv. 06416-06419 05/08/2009 Spencer Kuvin Bradley Edwards RE:FYI Epstein Depa Joint W/P Priv. 05925-05926 07/28/2009 Katherine Ezell Bradley Edwards FW:Epstein Joint W/P Priv. 05883-05584 07/24/2009 Katherine Ezell Bradley Edwards RE:Epstein Joint W/P Priv. 05022-05025 09/10/2010 Adam Horowitz Jacquie Johnson RE:Epstein-Notice of Production Joint W/P Priv. from Non Parties 04724-04725 05/27/2009 Bradley Edwards Katherine Ezell RE:Epstein Cases-depostions in Joint W/P Priv. federal cases BATES DATE TO FROM DESCRIPTION OBJECTION 06990-07002 06/11/2009 Brad Edwards Katherine W. Ezell June 10m hearing-WPS- Joint-privilege Confidential 07003-07006 06/26/2009 Amy Ederi Brad Edwards June 25th hearing-WPS- Joint-privilege 12
NOT A CERTIFIED COPY Privilege Log- Dated 2-23-2011 • I I I Farmer Jaffe Weissine: Edwards Fistos & Lehrman BATES DATE TO FROM DESCRIPTION OBJECTION Confld enti a I 07030 09/22/2009 Bradley J. Spencer Kuvin L.M. v. Epstein - defendant, Joint-privilege Edwards Jeffrey Epstein's response to plantiff 07090-07091 9/29/2009 Bradley J. Katherine W. Ezell Leslie Wexner Joint-privilege Edwards 07092 10/29/2009 Stuart Bradley J. Edwards Leslie Wexner Joint-privilege Mermelstein 07093 09/17/2009 Bradley J. Katherine W. Ezell Leslie Wexner Joint-privilege Edwards 01484 05/21/2009 Robert C. Bradley J. Edwards Epstein Joint-privilege Josefsberg 01503 08/24/2009 Spencer Kuvin Bradley J. Edwards Epstein Joint-privilege 01517 09/18/2009 Adam Horowitz; Bradley J. Edwards Epstein Joint-privilege Spencer Kuvin 01514 08/26/2009 Spencer Kuvin Bradley J. Edwards Epstein Joint-privilege 01515 08/27/2009 Spencer Kuvin Bradley J. Edwards Epstein Joint-privilege 01477 07/21/2009 Adam Horowitz; Bradley J. Edwards Epstein Joint-privilege Stuart Mermelstein 01489 08/03/2009 Adam Horowitz Bradley J. Edwards Epstein Joint-privilege 07110-07112 09/25/2009 Bradley J. Spencer Kuvin LM v EPSTEIN hearing 9/22/09 Edwards 07113-07114 09/25/2009 Spencer Kuvin Bradley J. Edwards LM v EPSTEIN hearing 9/22/09 Joint-privilege 07115-07116 09/25/2009 Bradley J. Spencer Kuvin LM v EPSTEIN hearing 9/22/09 Joint-privilege Edwards 07145-07146 09/22/2009 Adam Horowitz Bradley J. Edwards Mark Epstein Joi nt-prlvilege 07211-07213 10/01/2009 Bradley J. Spencer Kuvin Meeting with Stanley Arkin Joint-privilege Edwards 07210 10/06/2009 Stuart Katherine W. Ezell Meeting with Leslie Wexner Joint-privilege Mermelstein; Robert C. Josefsberg; 13
NOT A CERTIFIED COPY Privilege Log - Dated 2-23-2011 I I I I Farmer Jaffe Weissimr Edwards Fistos & Lehrman BATES DATE TO FROM DESCRIPTION OBJECTION Bradley J. Edwards 07214-07215 10/01/2009 Robert C. Katherine W. Ezell Meeting with Stanley Arkin Joint-privilege Josefsberg 07216-07217 10/02/2009 Bradley J. Katherine W. Ezell Meeting with Stanley Arkin Joint-privilege Edwards 07220-07223 10/01/2009 Spencer Kuvin Bradley J. Edwards Meeting with Stanley Arkin Joint-privilege 07224-07225 10/02/2009 Katherine w. Bradley J. Edwards Meeting with Stanley Arkin Joint-privilege Ezell 07226-07227 10/01/2009 Robert C Spencer Kuvin Meeting with Stanley Arkin Joint-privilege Josefsberg 07228-07229 10/01/2009 Bradley J. Robert C. Meeting with Stanley Arkin Joint-privilege Edwards Josefsberg 07280-07283 08/06/2009 Adam Horowitz Bradley J. Edwards Motion for protective order Joint-privilege 07633-07634 08/06/2009 Bradley J. Kikka M. Claudio Proposal Request Joint-privilege Edwards 07710-07733 06/23/2009 Katherine w. Bradley J. Edwards Regularly Monthly Cong. Call Joint-privilege Ezell 07740-07746 09/18/2009 Bradley J. Adam Horowitz Report this as a parole violation Joint-privilege Edwards 07748-07757 09/18/2009 Adam Horowitz Bradley J. Edwards Report this as a parole violation Joint-privilege 07913-07915 08/27/2009 Bradley J. Spencer Kuvin Sarah Kellen Joint-privilege Edwards 07917-07918 08/27/2009 Spencer Kuvin Jacquie Johnson Sarah Kellen Joint-privilege 07965-07966 08/12/2009 Katherine w. Bradley J. Edwards Subpoena directed to the Joint-privilege Ezell investigators 07977-07978 10/09/2009 Bradley J. Spencer Kuvin Subpoena Info Joint-privilege Edwards 01716 09/15/2009 Adam Horowitz Elizabeth Villar Epstein: Forensics/Investigations Joint-privilege INVOICE - 01768 07/13/2009 Richard Willits Bradley J. Edwards Epstein Investigator Joint-privileg...
NOT A CERTIFIED COPY Privilege Log - Dated 2-23-2011 I I I & Farmer Jaffe WeissinJ! Edwards Fistos & Lehrman BATES DATE TO FROM DESCRIPTION OBJEOION Edwards 01998-01999 09/21/2009 Adam Horowitz Margaret Berk Correct Number - Epstein Joint-privilege Deposition 02021 05/14/2009 Bradley J. Mercedes C. Doe v. Epstein Joint-privilege Edwards Estrada 02044 09/04/2009 Katherine w. Bradley J. Edwards E.W., L.M. Doe V. Epstein - Joint-privilege Ezell Letter from Bob Critton 02048 09/04/2009 Robert C. Bradley J. Edwards E.W., L.M. Doe v. Epstein - Joint-privilege Josefsberg Letter from Bob Critton 02054 05/12/2009 Spencer Kuvin Bradley J. Edwards Emailing Epstein deposition Joint-privilege revised 02062 10/05/2009 Bradley J. Amy Ederi Epstein - Confirming AT&T Dial Joint-privilege Edwards in Tel. Cont. for Monday, 10/5/09 at 4:00 p.m. 02087 09/17/2009 Spencer Kuvin Bradley J. Edwards Epstein- Hearing Joint-privilege 02140 08/04/2009 Spencer Kuvin Bradley J. Edwards Epstein Depo - New York Joint-privilege 02147-02149 09/21/2009 Bradley J. Amy Ederi Epstein Depo Joint-privilege Edwards 02174 07/20/2009 Adam Horowitz Bradley J. Edwards Epstein Matter - Cross Notice of Jo int-privilege Alfredo Rodriguez Deposition 02209-02210 07/01/2009 Bert Patton William J. Berger Epstein v. State of Florida - Joint-privilege Emergency petition for Writ of Certiorari; Emergency motion to review denial of stay 02215-02217 07/24/2009 Bradley J. Mercedes C. Epstein Joint-privilege Edwards Estrada 02290 09/18/2009 Bradley J. Spencer Kuvin Epstein Joint-privilege Edwards 02355-02356 06/10/2009 Mercedes C. Susan K. Stirling Hearing taken on 06/10/09 Joint-privilege Estrada onmotion to unseal before Judge Colbath 02362-02363 06/09/2009 Spencer Kuvin Katherine W. Ezell Hearing to Un-seal Joint-privilege 02374-02375 09/15/2009 Jack Hill Bradley J. Edwards Igor Zi...
NOT A CERTIFIED COPY Privilege Log- Dated 2-23-2011 ' ' • I Farmer Jaffe Weissine: Edwards Fistos & Lehrman BATES DATE TO FROM DESCRIPTION OBJECTION 02420-02421 05/08/2009 Bradley J. Mercedes C. Jane Doe II v. Epstein Joint-privilege Edwards Estrada 02435 09/15/2009 Bradley J. Lisa Rivera Jane Does v. Epstein Joint-priv'ilege Edwards 02438 09/18/2009 Bradley J. Adam Horowitz Jeffrey Epstein DC# W35755 Joint-privilege Edwards 02462 09/22/09 Spencer Kuvin Bradley J. Edwards L.M. v. Epstein - Defendant, Joint-privilege Jeffrey Epstein"s Response to Plantiff L.M."s Motion for Protective Order 02476-02477 09/25/2009 Spencer Kuvin Bradley J. Edwards LM V EPSTEIN hearing Joint-privilege 02516 10/06/2009 Bradley J. Katherine W. Ezell Meeting with Leslie Wexner Joint-privilege Edwards 02554-02559 08/03/2009 Adam Horowitz Bradley J. Edwards NEW ASSIGNMENT - NEW Joint-privilege ALBANY - RUSH? - Fwd: Federal Subpoena 02584 08/11/2009 Bradley J. Kikka M. Claudio Out of state subpoenas Joint-privilege Edwards 02618 08/04/2009 Bradley J. Kikka M. Claudio Proposal Request Joint-privilege Edwards 02627-02628 09/18/2009 Bradley J. Adam Horowitz Report this as a parole violation Joint-privilege Edwards 02672-02673 10/09/2009 Spencer Kuvin Bradley J. Edwards Subpoena Info Joint-privilege 02727 08/03/2009 Spencer Kuvin Bradley J. Edwards Transcript of Alfredo Rodriguez Joint-privilege deposition 02896 06/08/2009 Bradley J. Spencer Kuvin Hearing to Un-seal Joint-privilege Edwards 03009-03010 08/07/2009 Adam Horowitz Jacquie Johnson Motion to stay Joint-privilege 03028-03029 09/21/2009 Bradley J. Adam Horowitz Mark Epstein Joint-privilege Edwards 03038 10/06/2009 Bradley J. Stuart Mermelstein Meeting with Leslie Wexner Joint-privilege Edwards 03131-03132 08/06/2009 Adam Horowitz Bradley J. Edwards Epsteins assets Joint-privilege 16
NOT A CERTIFIED COPY Privilege Log - Dated 2-23-2011 I I I I Farmer Jaffe Weissine: Edwards Fistos & Lehrman BATES DATE TO FROM DESCRIPTION OBJECTION 03243-03244 09/09/2009 Bradley J. Adam Horowitz EPSTEIN Joint-privilege Edwards 03397-03400 09/29/2009 Adam Horowitz Bradley J. Edwards Activity in case 9:08-cv-80119- Joint-privilege KAM Doe v. Epstein Response in Opposition to Motion 03407-03414 09/29/2009 Bradley J. Adam Horowitz Activity in case 9:08-cv-80119- Joint-privilege Edwards KAM Doe v. Epstein Response in Opposition to Motion 03451-03452 05/14/2009 Bradley J. Spencer Kuvin Activity in Case 9:08-cv-80893· Joint-privilege Edwards KAM Doe v. Epstein Order on Motion to Stay 03477-03479 05/15/2009 Bradley J. Spencer Kuvin Activity in Case 9:08-cv-80893- Joint-privilege Edwards KAM Doe v. Epstein Order to Motion to Stay 03619-0362 7 09/15/2009 Bradley J. Spencer Kuvin BB V. Epstein/EW V. Epstein Joint-privilege Edwards 03631-03633 09/15/2009 Jacquie Johnson William J. Berger BB V. Epstein/EW V. Epstein Joint-privilege 03646-03656 10/19/2009 Bradley J. Katherine W. Ezell Bill Riley's Subpoena & Depo Joint-privilege Edwards Notice 03677-03687 07/08/2009 Bradley J. Adam Horowitz Can you send me those Joint-privilege Edwards addresses? 03719-03736 09/04/2009 Bradley J. Spencer Kuvin CMA - depo notices attached. Joint-privilege Edwards 03840-03847 08/02/2009 Stuart Bradley J. Edwards Continuing Deposition of Alfredo Joint-privilege Mermelstein Rodriguez 03938-03939 09/29/2011 Katherine w. Bradley J. Edwards Deposition of Bill Riley Joint-privilege Ezell 03943-03945 09/18/2009 Adam Horowitz Jacquie Johnson Deposition of Jean Luc Bruhnel Joint-privilege 02911-02912 09/15/2009 Bradley J. Jack P. Hill Igor Zinoview depo Joint-privilege Edwards 02939 07/14/2009 Bradley J. Adam Horowitz Jane Does 2-7 v. Epstein Joint-privilege Edwards 02977 ...
NOT A CERTIFIED COPY Privilege Log - Dated 2-23-2011 I I I • Farmer Jaffe Weissine Edwards Fistos & Lehrman BATES DATE TO FROM DESCRIPTION OBJECTION Ezell 02978 10/29/2009 Bradley J. Stuart Mermelstein Leslie Wexner Joint-privilege Edwards 02994 06/10/2009 Bradley J. Mercedes C. Preservation of evidence Joint-privilege Edwards Estrada 07060 10/16/2009 Sid Garcia Bradley J. Edwards l.M. v. Epstein Joint-privilege 06202 07/13/2009 Richard Willits Bradley J. Edwards Scheduling . various depositions Joint-privilege regarding Epstein 06409-06415 04/15/2009 Bradley J. Katherine W. Ezell FYI Joint-privilege Edwards 06428-06447 05/06/2009 Spencer Kuvin Bradley J. Edwards FYI Joint-privilege 06453-06454 04/15/2009 Spencer Kuvin Bradley J. Edwards FYI Joint-privilege 06465-06471 04/15/2009 Katherine w. Bradley J. Edwards FYI Joint-privilege Ezell 06476-06490 05/08/2009 Bradley J. Spencer Kuvin FYI Joint-privilege Edwards 06630-06632 09/09/2009 Spencer Kuvin Bradley J. Edwards Hearing to Un-seal Joint-privilege 06636-06639 09/09/2009 Bradley J. Robert C. Hearing to Un-seal Joint-privilege Edwards Josefsberg 06702-06705 09/16/2009 Bradley J. Kikka M. Claudio Igor Zinoview & Tommy Matola Joint-privilege Edwards depos 06706-06708 10/14/2009 Bradley J. Kikka M. Claudio Igor Zinoview depo Joint-privilege Edwards 06715-06719 10/09/2009 Jack P. Hill Bradley J. Edwards Igor Zinoview depo Joint-privilege 06729-06735 10/13/2009 Bradley J. Jack P. Hill Igor Zinoview depo Joint-privilege Edwards 06763 08/19/2009 Bradley J. Stuart Mermelstein IME's Joint-privilege Edwards 06764-06766 09/10/2009 Bradley J. Stuart Mermelstein IME's Joint-privilege Edwards 06770-06781 09/10/2009 Stuart Bradley J. Edwards IME's Joint-privilege Mermelstein 06811-06812 08/20/2009 Katherine w. Bradley J. Edwards Is Mark Epstein JE's brother? Joint-privilege 18
NOT A CERTIFIED COPY
Privilege Log - Dated 2-23-2011
I
I
I
I
Farmer Jaffe Weissine Edwards Fistos & Lehrman
BATES
DATE
TO
FROM
DESCRIPTION
OBJECTION
Ezell
06817-06819
09/23/2009
Adam Horowitz
Bradley J. Edwards
Is your client being deposed
Joint-privilege
tomorrow?
06820-06822
07/02/2009
Bradley
J.
Margaret Berk
Jane Doe 2 {Brinson) v. Epstein
Joint-privilege
Edwards
06841-06860
05/12/2009
Bradley
J.
Spencer Kuvin
Jane Doe II v. Epstein
Joint-privilege
Edwards
06864-06875
05/12/2009
Spencer Kuvin
Bradley J. Edwards
Jane Doe II v. Epstein
Joint-privilege
06880-06890
05/12/2009
Bradley
J.
Katherine W. Ezell
Jane Doe II v. Epstein
Joint-privilege
Edwards
06898-06900 05/12/2009
Bradley
J.
Stuart Mermelstein
Jane Doe II v. Epstein
Joint-privilege
Edwards
06933-06934
07/14/2009
Adam Horowitz
Bradley J. Edwards
Jane Does 2-7 v. Epstein
Joint-privilege
06937-06938
10/05/2009
Spencer Kuvin
Jacquie Johnson
Jane Does 2-8 v. Epstein - Cross
Joint-privilege
NOO's of Oct. 6-8 depos
06944-06952
09/22/2009
Bradley
J.
Adam Horowitz
Jeffrey Epstein DC# W35755
Joint-privilege
Edwards
16107
08/11/2009
Adam Horowitz
Jacquie Johnson
Maxwells deposition
Joint-privilege
16123-16124 08/11/2009
Kikka M. Claudio
Jacquie Johnson
Maxwells deposition
Joint-privilege
16799-16801
10/02/2009
Robert
C.
Jacquie Johnson
Meeting with Stanley Arkin
Joint-privilege
Josefbergs
02947-02948
08/03/2009
Spencer Kuvin
Jacquie Johnson
Epstein Depo - New York
Joint-privilege
02891-20906
10/01/2009
Bradley
J.
Katherine W. Ezell
Meeting with Stanley Arkin
Joint-privilege
Edwards
20880-20882
10/02/2009
Bradley
J.
Katherine W. Ezell
Meeting with Stanley Arkin
Joint-privilege
Edwards
06042-06090
07/02/2009
William J. Berger
Spencer Kuvin
Ew 09-22784 cert.41h dca
Joint-privilege
06402-06403
06/10/2009
Bradley
J.
Katherine W. Ezell
Hearing to Un-seal
Jolnt-privllege
Edwards
01365-01366
0...
NOT A CERTIFIED COPY Privilege Log - Dated 2-23-2011 ' I I I Farmer Jaffe Weissine: Edwards Fistos & Lehrman BATES DATE TO FROM DESCRIPTION OBJECTION Mermelstein 01319 08/11/2009 Adam Horowitz Jacquie Johnson Epstein Depo Joint-privilege 01316 08/27/2009 Spencer Kuvin Bradley J. Edwards Epstein Depo Joint-privilege 01314 10/30/2009 Stuart Jacquie Johnson Epstein Depo of Wexner Joint-privilege Mermelstein 01298 05/26/2009 Bradley J. Adam Horowitz Epstein cases - depositions in Joint-privilege Edwards federal cases 01294 08/10/2009 Jack P. Hill Bradley J. Edwards Epstein Assets Joint-privilege 01273 07/13/2009 Katherine w. Bradley J. Edwards Epstein 2255 claims Joint-privilege Ezell 01250 05/13/2009 Bradley J. Mercedes c. Epstein Joint-privilege Edwards Estrada 01246 04/08/2009 Bradley J. Mercedes C. Epstein -Telephone Conference Joint-privilege Edwards Estrada 01233-01234 07/31/2009 Bradley J. Mercedes C. Epstein - Monday, 8/3/09 - Joint-privilege Edwards Estrada Monthly call in telephone conference - AT&T Call in No: (877) 468-2136 - participant code: 775593. Kathy is the host. 01224 06/16/2009 Bradley J. Mercedes C. Epstein - Monday, 8/3/09 - Joint-privilege Edwards Estrada Monthly call in telephone conference - AT&T Call in No: (877) 468-2136 - participant code: 775593. Kathy is the host. 01185 10/30/2009 Bradley J. Mercedes C. Epstein - Confirming AT&T dial Joint-privilege Edwards Estrada in tel. cont. for Monday, 11/2/09 at 4:00 p.m. 01186 10/02/2009 Bradley J. Mercedes c. Epstein - Confirming AT&T Dial Joint-privilege Edwards Estrada in Tel. Conf. for Monday, 10/5/09 at 4:00 p.m. 01187 05/19/2009 Bradley J. Mercedes C. Epstein - Confirming AT&T Dial Joint-privilege Edwards Estrada in Telephone Conference for Monday, 6/8/09 at 2:00 p.m. 20
NOT A CERTIFIED COPY Privilege Log - Dated 2-23-2011 I I I I Farmer Jaffe WeissinR Edwards Fistos & Lehrman BATES DATE TO FROM DESCRIPTION OBJECTION 01188 05/12/2009 Bradley J. Mercedes C. Epstein - Confirming AT&T Dial Joint-privilege Edwards Estrada in Telephone Conference for Tomorrow 5/13/09 01189 09/08/2009 Bradley J. Iliana Yarzabal Epstein - Confirming AT&T Dial Joint-privilege Edwards in Telephone Conference for Wednesday, 9/9/09 at 3:00 01095-01096 04/15/2009 Spencer Kuvin Bradley J. Edwards Deposition of Epstein was set for Joint-privilege tomorrow 01045 07/23/2009 Bradley J. Richard Willits CMA vs. Epstein Joint-privilege Edwards 01649 07/08/2009 Bradley J. Mercedes c. Epstein Joint-privilege Edwards Estrada 01641 06/11/2009 Bradley J. Mercedes C. Epstein Joint-privilege Edwards Estrada 01639 05/29/2009 Bradley J. Mercedes C. Epstein Joint-privilege Edwards Estrada 01619 10/28/2009 Bradley J. Spencer Kuvin Epstein Joint-privilege Edwards 01660 07/22/2009 Bradley J. Adam Horowitz Epstein Joint-privilege Edwards 01666 04/20/2009 Spencer Kuvin Bradley J. Edwards Epstein Joint-privilege 01671 07/23/2009 Katherine w. Bradley J. Edwards Epstein Joint-privilege Ezell 01680 08/24/2009 Jack P. Hill Bradley J. Edwards Epstein Joint-privilege 04355-04358 09/04/2009 Jack Scarola Bradley J. Edwards Epstein - Depos of Marcinkova Joint-privilege and Sarah Kellen 04446 09/03/2009 Bradley J. Iliana Yarzabal Epstein - Monday 8/3/09 - Joint-privilege Edwards Monthly Call in Telephone Conference 04200-04201 09/04/2009 Bradley Edwards Katherine W. Ezell letter from Bob Critton Joint W/P Privilege 04220- 09/04/2009 Bradley Edwards Spencer Kuvin letter from Bob Critton Joint W/P Privilege 04221 04222-04223 09/04/2009 Bradley Edwards Barry Stone letter from Bob Critton Joint W/P Privilege 21
NOT A CERTIFIED COPY Privilege Log-Dated 2-23-2011 I I • I Farmer Jaffe Weissine: Edwards Fistos & Lehrman BATES DATE TO FROM DESCRIPTION OBJECTION 04264 05/12/2009 Bradley Edwards Spencer Kuvin Epstein Oepo Joint W/P Privilege 04298-04299 09/16/2009 Jacquie Johnson Adam Horowitz Depo of Epstein Joint W/P Privilege 04304 09/08/2009 Jacquie Johnson Adam Horowitz Epstein Joint W/P Priv. 04335 10/30/2009 Bradley Edwards Robert Josefsberg Epstein- Confirming AT&T Tel. Joint W/P Priv. Conf. 04359-04360 09/04/2009 Jacquie Johnson Katherine Ezell Depos of Marcinkova & Sarah Joint W/P Priv. Kellen 04365 09/15/2009 Jacquie Johnson Adam Horowitz Epstein- Depo in New York Joint W/P Priv. 04417 09/17/2009 Bradley Edwards Spencer Kuvin Epstein- Hearing JointW/P Mv. 04423-04424 09/09/2009 Jacquie Johnson Adam Horowitz Letter regarding Leslie Wexner Joint W/P Priv. 04433-04436 06/16/2009 Spencer Kuvin Bradley Edwards Monthly Call in Tele. Conf. Joint W/P Priv. 04447-04450 07/31/2009 Jacquie Johnson Mercedes Estrada Monthly Call in Tel. Conf. Joint W/P Priv. 04491-04518 04/08/2009 Bradley Edwards Jack Scarola Epstein- Tel. Conf. Joint W /P Priv. 04518 04/08/2009 Bradley Edwards Robert Josefsberg Epstein- Tel Conf. Joint W/P Priv. 04524-04525 05/13/2009 Katherine Ezell Bradley Edwards Epstein Depo Joint W/P Priv. 04580 10/14/2009 Jacquie Johnson Adam Horowitz Depo of Larry Visoski Joint W/P Priv. 04640-04641 10/14/2009 Bradley Edwards Adam Horowitz Depo of Larry Visoski Joint W/P Priv. 04723 05/26/2009 Bradley Edwards Katherine Ezell Epstein cases- Oepos Joint W/P Priv. 04726-04729 05/26/2009 Adam Horowitz Bradley Edwards Epstein cases- Witness depos Joint W/P Priv. 04750-04754 08/04/2009 Spencer Kuvin Bradley Edwards Epstein depo- New York Joint W/P Priv. 04763-04785 08/27/2009 Spencer Kuvin Bradley Edwards Epstein Oepo Notice Joint W/P Priv. 04797-04799 09/18/2009...
NOT A CERTIFIED COPY Privilege Log - Dated 2-23-2011 • • I • Farmer Jaffe Weissimr Edwards Fistos & Lehrman BATES DATE TO FROM DESCRIPTION OBJEOION 04711 08/10/2009 Bradley Edwards Jack Hill Epstein assests Joint W/P Prlv. 04855-04858 08/18/2009 Bradley Edwards Kikka Claudio Epstein Depos Joint W/P Priv. 04861 07/24/2009 Lisa Rivera Jacquie Johnson Epstein Depos Joint W/P Priv. 04876-04877 07/27/2009 Bradley Edwards Spencer Kuvin Epstein Depos Joint W/P Priv. 04922-04923 09/16/2009 Adam Horowitz Jacquie Johnson Epstein Hearing Joint W/P Priv. 04925-04926 09/15/2009 Adam Horowitz Jacquie Johnson Epstein Hearing Joint W/P Prlv. 04929-04934 09/25/2009 Bradley Edwards Adam Horowitz Epstein Hearing Joint W/P Priv. 04937-04938 09/15/2009 Adam Horowitz Jacquie Johnson Epstein Hearing Joint W/P Priv. 04969-04972 07/20/2009 Adam Horowitz Bradley Edwards Alfredo Rodriguez Depa Joint W/P Priv. 05026-05027 09/10/2009 Adam Horowitz Jacquie Johnson Notice of Production from Non- Joint W/P Priv. Parties 05031 09/25/2009 Bradley Edwards Spencer Kuvin Epstein Order Joint W/P Priv. 05037-05038 09/25/2009 Bradley Edwards Spencer Kuvin Epstein Order Joint W/P Priv. 05042-05043 09/25/2009 Spencer Kuvin Bradley Edwards Epstein Order Joint W/P Priv. 05046 09/25/2009 Bradley Edwards Spener Kuvin Epstein Order Joint W/P Priv. 05074-05076 08/18/2009 Stuart Jacquie Johnson Epstein Sub. To Bears Stern Joint W/P Priv. Mermelstein 23
NOT A CERTIFIED COPY Privilege Log - Dated 2~23-2011 a I I I Farmer Jaffe Weissin2 Edwards Fistos & lehrman BATES DATE TO FROM DESCRIPTION OBJECTION 05100-05102 08/05/2009 Mercedes Bradley Edwards Improper Serving of Maxwell Joint W/P Priv. Estrada 05105-05107 04/20/2009 Bradley Edwards Spencer Kuvin Hearing on Yellow Cab Objection Joint W/P Priv. 05110 08/06/2009 Adam Horowitz Kikka Claudio Address for Nadia Marcinkova Joint W/P Priv. 05118-05119 09/09/2009 Adam Horowitz Bradley Edwards Motion for Protective Order Joint W/P Priv. 05157-05158 09/10/2009 Adam Horowitz Bradley Edwards Motion for Protective Order Joint W/P Priv. 05167-05168 05/29/2009 Bradley Edwards Margaret Berk Spencer Cross-Examination Joint W/P Priv. 05171-05172 05/29/2009 Bradley Edwards Mercedes Estrada Transcripts Joint W/P Priv. 05201-05202 09/10/2009 Adam Horowitz Bradley Edwards Rules on Doe no. 4 Joint W/P Priv. 05222-05223 07/10/2009 Bradley Edwards Katherine Ezell File case Joint W/P Priv. 05226 07/10/2009 Bradley Edwards Spencer Kuvin Epstein 5th Amendment rights Joint W/P Priv. 05229 07/10/2009 Bradley Edwards Adam Horowitz Motions to Compel Joint W/P Priv. 05232-05233 07/10/2009 Bradley Edwards Adam Horowitz Motions fully briefed Joint W/P Priv. 05247 07/23/2009 Katherine Ezell Bradley Edwards Answers to the 1 $1 set of ROGS Joint W/P Priv. 05251-05252 07/24/2009 Katherine Ezell Bradley Edwards Depo dates Joint W/P Priv. 05258 07/25/2009 Katherine Ezell Bradley Edwards Switzerland Witness regarding Joint W/P Priv. Epstein Egg Shaped 2 inch PENIS! 05265-05266 07/22/2009 Adam Horowitz Spencer Kuvin Alfredo Rodriguez depo Joint W/P Priv. 24
NOT A CERTIFIED COPY Privllege Log - Dated 2-23-2011 I & I • Farmer Jaffe Weissin2 Edwards Fistos & Lehrman BATES DATE TO FROM DESCRIPTION OBJECTION 05286-05287 07/28/2009 Katherine Ezell Bradley Edwards Switzerland Witness regarding Joint W/P Priv. training of little girls as sex traps 05293·05294 07/28/2009 Katherine Ezell Bradley Edwards Calling Switzerland witness Joint W /P Priv. 05326-05327 08/24/2009 Bradley Edwards Spencer Kuvin Emails searchable Joint W/P Priv. 05331 08/06/2009 Kikka Claudio Bradley Edwards Epstein address Joint W/P Priv. 05334-05335 05/29/2009 Bradley Edwards Mercedes Estrada TV Interview that is too explicit Joint W/P Priv. 05347 OB/24/2009 Bradley Edwards Spence!' Kuvin Seeking Computers Joint W/P Priv. 05350 08/10/2009 Kikka Claudio Bradley Edwards Current address for Nadia Joint W/P Priv. Marcinkova 05353-05354 09/09/2009 Katherine Ezell Bradley Edwards Distribution of Costs Joint W/P Priv. 05367 09/10/2009 Jacquie Johnson Bradley Edwards Voicemail Joint W/P Priv. 05373-05374 08/10/2009 Kiklca Claudio Bradley Edwards Supoenasfordepos Joint W/P Priv. 05391·05393 04/20/2009 Spencer Kuvin Bradley Edwards Yellow Cab stuff Joint W/P Priv. 05400-05401 10/19/2009 Adam Horowitz Bradley Edwards Religious Dildo Washer Joint W/P f>riv. 05414-05415 08/10/2009 Kikka Ctaudio Bradley Edwards Sjoberg's current address Joint W/P Priv. 05437-05439 04/20/2009 Bradley Edwards Spencer Kuvin Yellow Cab stuff Joint W/P Priv. 05444-05445 08/10/2009 Bradley Edwards Kikka Claudio Settfng Depos Joint W/P Priv. 05451 05/29/2009 Mercedes Bradley Edwards Motion for Status Conf. Joint W/P Priv. Estrada 25
Size: 409 x 69 pixels
Surrounding text: science back2
Medium redaction (~45 chars)
Size: 109 x 150 pixels
Surrounding text: Ads By Google G Sh La Vid If yo Spar to) y here vide Wat
Small redaction (~12 chars)
Size: 89 x 62 pixels
Surrounding text: of . THE
Small redaction (~9 chars)
Size: 322 x 67 pixels
Surrounding text: P the shop Lembroke Gardens each County Weather Sports Business Entertainment Consumer Cla
Medium redaction (~35 chars)
Size: 494 x 78 pixels
Surrounding text: Latest Rothstein Updates « Kim Rothstein wants some of her bling back I Main I Scott Rothstein partner Stuart Rosenfeldt testifies under oath »
Large redaction (~54 chars)
Size: 3 x 57 pixels
Surrounding text: vet
Small redaction (~0 chars)
Size: 221 x 22 pixels
Surrounding text: Reply 10: L39 Olas City Centre . 401 East Las Otas Boulevard - Suite BOCA RATON . FORT LAUDERDALE- . MIAMI . NEW 1 EX
Medium redaction (~24 chars)
Page 1
document
2550 x 3300
Objects: Page, Text, Letter | Text: Electronically Filed 10/04/2013 05:03:10 PM ET | IN THE CIRCUIT
Page 2
document
2550 x 3300
Objects: Page, Text, Letter, Chart, Diagram, Plan, Plot | Text: Epstein V. Rothstein, et al. | WE HE
Page 3
document
2550 x 3300
Objects: Page, Text, Letter, Menu | Text: Epstein v. Rothstein, et al. | SERVICE LIST | CASE NO. 502
Page 4
document
2550 x 3300
Objects: Page, Text, Letter | Text: Epstein v. Rothstein, et al. | Tonja Haddad Coleman, Esquire | T
Page 5
document
2550 x 3300
Objects: Page, Text, Letter | Text: Page 1 of 4 | Summary Form | Exit | THE FLORIDA BAR | Daily News
Page 6
document
2550 x 3300
Objects: Letter, Text, Page | Text: Page 2 of 4 | Summary Form | --Lawyer Ethics/Legal Discipline--
Page 7
document
2550 x 3300
Objects: Page, Text, Letter | Text: Page 3 of 4 | Summary Form | Florida Today, http://www.floridato
Page 8
document
2550 x 3300
Objects: Page, Text, Letter | Text: Page 4 of 4 | Summary Form | capacity to execute a will or other
Page 9
document
2550 x 3300
Objects: Page, Text | Text: Page 1 of 4 | A year after Rothstein, many questions unanswered - South
Page 10
document
2550 x 3300
Objects: Page, Text, Letter | Text: Page 2 of 4 | A year after Rothstein, many questions unanswered
Page 11
document
2550 x 3300
Objects: Letter, Text, Page | Text: Page 3 of 4 | A year after Rothstein, many questions unanswered
Page 12
document
2550 x 3300
Objects: Letter, Text, Page | Text: Page 4 of 4 | A year after Rothstein, many questions unanswered
Page 13
document
2550 x 3300
Objects: Page, Text, File | Text: Page 1 of 3 | back 2 | Home / News Broward Palm Beach Sports Enter
Page 13
document
466 x 635
Objects: White Board, Page, Text
Page 13
photo
447 x 617
Objects: Home Decor, Linen, Art, Collage, Painting, Silhouette, Face, Head, Person, Clothing
Page 13
photo
142 x 111
Objects: Home Decor, Rug, QR Code, Art | Text: FROM
Page 13
document
140 x 115
Objects: Home Decor, Rug, QR Code, Text | Text: TO
Page 14
document
2550 x 3300
Objects: Page, Text, Menu | Text: Page 2 of 3 | Rothstein is scheduled to plead guilty Jan. 27 to fe
Page 15
document
2550 x 3300
Objects: Page, Text, Chart, Diagram, Plan, Plot | Text: Page 3 of 3 | Prosecutors have said that Nur
Page 15
document
370 x 267
Objects: White Board, Page, Text
Page 15
document
1114 x 469
Objects: Page, Text, Advertisement, Poster, Art, Collage, Outdoors, Nature, Sea, Water
Page 16
document
2550 x 3300
Objects: Page, Text, Face, Head, Person, Advertisement, Poster | Text: This Just In Sun Sentinel Blo
Page 16
document
2077 x 278
Objects: Logo, Text, Machine, Spoke, Wheel | Text: the | P | S | SunSentinel.com | G
Page 17
document
2550 x 3300
Objects: Page, Text, Letter | Text: This Just In Sun Sentinel Blogs 22 former Scott Rothstein attorn
Page 18
document
2550 x 3300
Objects: Page, Text, Letter | Text: This Just In Sun Sentinel Blogs 22 former Scott Rothstein attorn
Page 19
document
2550 x 3300
Objects: Page, Text | Text: This Just In Sun Sentinel Blogs 22 former Scott Rothstein attorneys clea
Page 20
document
2550 x 3300
Objects: Page, Text | Text: This Just In Sun Sentinel Blogs 22 former Scott Rothstein attorneys clea
Page 21
document
2550 x 3300
Objects: Page, Text | Text: 07/23/2009 13: 17 FAX | ROTHSTEIN ROSENFELT ADLE | 001 | Bradley J. Edwa
Page 21
document
650 x 470
Objects: Logo, Face, Head, Person, Text
Page 21
document
472 x 331
Objects: White Board, Page, Text, Blackboard
Page 22
document
2550 x 3300
Objects: Letter, Text, Page | Text: 07/23/2009 13:18 FAX | ROTHSTEIN ROSENFELT ADLE | 002 | July 22,
Page 22
document
497 x 119
Objects: Handwriting, Text, Signature
Page 23
document
2550 x 3300
Objects: Page, Text, Letter | Text: UNITED STATES DISTRICT COURT | SOUTHERN DISTRICT OF FLORIDA | CA
Page 24
document
2550 x 3300
Objects: Text, Page, Letter, Handwriting | Text: ROTHSTEIN ROSENFELDT ADLER | Attorneys for Plaintif
Page 25
document
2550 x 3300
Objects: Page, Text | Text: WE HEREBY CERTIFY that a copy of the foregoing was mailed this28th day o
Page 25
document
941 x 115
Objects: Handwriting, Text, Signature | Text: By:
Page 26
document
2550 x 3300
Objects: Page, Text | Text: bedwards@rra-law.com | William J. Berger | Florida Bar No. 197701
Page 27
document
2550 x 3300
Objects: Page, Text, Document | Text: AO 88A (Rev. 01/09) Subpoena to Testify at a Deposition or to
Page 27
document
307 x 133
Objects: Text, Number, Symbol, Bow, Weapon, Handwriting
Page 27
document
846 x 184
Objects: Text, Handwriting | Text: Attorney's signature
Page 28
document
2550 x 3300
Objects: Page, Text | Text: AO 88A (Rev. 01/09) Subpoena to Testify at a Deposition or to Produce Do
Page 29
document
2550 x 3300
Objects: Page, Text, Letter | Text: UNITED STATES DISTRICT COURT | SOUTHERN DISTRICT OF FLORIDA | CA
Page 30
document
2550 x 3300
Objects: Page, Text, Letter | Text: ROTHSTEIN ROSENFELDT ADLER | Attorneys for Plaintiff | 401 East
Page 30
document
849 x 201
Objects: Handwriting, Text, Signature
Page 31
document
2550 x 3300
Objects: Page, Text, Document | Text: AO 88A (Rev 01/09) Subpoena to Testify at a Deposition or to P
Page 31
document
319 x 129
Objects: Text, Handwriting, Number, Symbol
Page 31
document
924 x 198
Objects: Handwriting, Text, Signature | Text: OR | Attorney's signature
Page 32
document
2550 x 3300
Objects: Page, Text | Text: AO 88A (Rev. 01/09) Subpoena to Testify at a Deposition or to Produce Do
Page 33
document
2550 x 3300
Objects: Page, Text, Letter | Text: UNITED STATES DISTRICT COURT | SOUTHERN DISTRICT OF FLORIDA | CA
Page 34
document
2550 x 3300
Objects: Page, Text | Text: ROTHSTEIN ROSENFELDT ADLER | Attorneys for Plaintiff | 401 East Las Olas
Page 34
document
773 x 231
Objects: Clothing, Hat, Text
Page 35
document
2550 x 3300
Objects: Page, Text, Document | Text: AO 88A (Rev. 01/09) Subpoena to Testify at a Deposition or to
Page 35
document
2155 x 253
Objects: Handwriting, Text, Signature | Text: Date: | 9/27/09 | CLERK OF COURT | OR
Page 36
document
2550 x 3300
Objects: Page, Text | Text: AO 88A (Rev. 01/09) Subpoena to Testify at a Deposition or to Produce Do
Page 37
document
2550 x 3300
Objects: Page, Text, Letter | Text: UNITED STATES DISTRICT COURT | SOUTHERN DISTRICT OF FLORIDA | CA
Page 38
document
2550 x 3300
Objects: Page, Text, Chart, Diagram, Plan, Plot | Text: ROTHSTEIN ROSENFELDT ADLER | Attorneys for P
Page 38
document
861 x 150
Objects: Handwriting, Text, Signature | Text: By: | Content flags: Explicit, Exposed Female Genitali
Page 39
document
2550 x 3300
Objects: Page, Text, Menu | Text: Service List | 09-22785 | Robert D. Critton, Jr., Esq. | BURMAN, C
Page 40
document
2550 x 3300
Objects: Page, Text, Letter | Text: UNITED STATES DISTRICT COURT | SOUTHERN DISTRICT OF FLORIDA | CA
Page 41
document
2550 x 3300
Objects: Page, Text, Chart, Diagram, Plan, Plot | Text: ROTHSTEIN ROSENFELDT ADLER | Attorneys for P
Page 41
document
792 x 136
Objects: Handwriting, Text, Signature
Page 42
document
2550 x 3300
Objects: Text, Page, Document | Text: AO 88A (Rev. 01/09) Subprena to Testify at a Deposition or to
Page 43
document
2550 x 3300
Objects: Page, Text, Document | Text: АО 88A (Rev. 01/09) Subpoena to Testify at a Deposition or to
Page 44
document
2550 x 3300
Objects: Page, Text | Text: AO 88A (Rov. 01/09) Subpoena to Testify at a Deposition or to Produce Do
Page 45
document
2550 x 3300
Objects: Letter, Text, Page | Text: UNITED STATES DISTRICT COURT | SOUTHERN DISTRICT OF FLORIDA | CA
Page 46
document
2550 x 3300
Objects: Page, Text, Chart, Diagram, Plan, Plot | Text: ROTHSTEIN ROSENFELDT ADLER | Attorneys for P
Page 46
document
944 x 136
Objects: Handwriting, Text, Signature | Text: By:
Page 47
document
2550 x 3300
Objects: Text, Page, Document | Text: AO 88A (Rev. 01/09) Subpoena to Testify at a Deposition or to
Page 48
document
2550 x 3300
Objects: Page, Text, Document | Text: AO 88A (Rev. 01/09) Subpoena to Testify at a Deposition or to
Page 49
document
2550 x 3300
Objects: Page, Text | Text: AO 88A (Rev. 01/09) Subpoena to Testify at a Deposition or to Produce Do
Page 50
document
2550 x 3300
Objects: Page, Text, Letter | Text: UNITED STATES DISTRICT COURT | SOUTHERN DISTRICT OF FLORIDA | CA
Page 51
document
2550 x 3300
Objects: Page, Text | Text: ROTHSTEIN ROSENFELDT ADLER | Attorneys for Plaintiff | 401 East Las Olas
Page 52
document
2550 x 3300
Objects: Text, Page, Document | Text: AO 88A (Rev. 01/09) Subpoena to Testify at a Deposition or to
Page 53
document
2550 x 3300
Objects: Page, Text | Text: AO 88A (Rev. 01/09) Subpoena to Testify at a Deposition or to Produce Do
Page 54
document
2550 x 3300
Objects: Page, Text | Text: AO 88A (Rev. 01/09) Subpoena to Testify at D Deposition or to Produce Do
Page 55
document
2550 x 3300
Objects: Page, Text, Letter | Text: UNITED STATES DISTRICT COURT | SOUTHERN DISTRICT OF FLORIDA | CA
Page 56
document
2550 x 3300
Objects: Page, Text, Chart, Diagram, Plan, Plot | Text: ROTHSTEIN ROSENFELDT ADLER | Attorneys for P
Page 56
document
852 x 171
Objects: Handwriting, Text, Signature | Text: By:
Page 57
document
2550 x 3300
Objects: Page, Text, Menu | Text: Service List | 09-22785 | Robert D. Critton, Jr., Esq. | BURMAN, C
Page 58
document
2550 x 3300
Objects: Page, Text, Letter | Text: UNITED STATES DISTRICT COURT | SOUTHERN DISTRICT OF FLORIDA | CA
Page 59
document
2550 x 3300
Objects: Page, Text, Chart, Diagram, Plan, Plot | Text: ROTHSTEIN ROSENFELDT ADLER | Attorneys for P
Page 59
document
888 x 128
Objects: Handwriting, Text, Signature | Text: By:
Page 60
document
2550 x 3300
Objects: Page, Text, Letter | Text: UNITED STATES DISTRICT COURT | SOUTHERN DISTRICT OF FLORIDA | CA
Page 61
document
2550 x 3300
Objects: Page, Text | Text: ROTHSTEIN ROSENFELDT. ADLER | Attorneys for Plaintiff | 401 East Las Ola
Page 61
document
750 x 283
Objects: Handwriting, Text, Signature, Face, Head, Person
Page 62
document
2550 x 3300
Objects: Page, Text, Menu | Text: Service List | 09-22785 | Robert D. Critton, Jr., Esq. | BURMAN, C
Page 63
document
2550 x 3300
Objects: Page, Text, Letter | Text: 9/2 | UNITED STATES DISTRICT COURT | SOUTHERN DISTRICT OF FLORID
Page 64
document
2550 x 3300
Objects: Page, Text, Chart, Diagram, Plan, Plot | Text: ROTHSTEIN ROSENFELDT ADLER | Attorneys for P
Page 64
document
654 x 337
Objects: Text, Handwriting, QR Code | Text: 401 East Las Olas Blvd., Suite | Fort Lauderdale, + Flor
Page 64
document
674 x 176
Objects: Handwriting, Text, Signature
Page 65
document
2550 x 3300
Objects: Text, Page | Text: UNITED STATES DISTRICT COURT | SOUTHERN DISTRICT OF FLORIDA | CASE NO. 0
Page 66
document
2550 x 3300
Objects: Page, Text, Envelope, Mail | Text: ROTHSTEIN ROSENFELDT ADLER | Attorneys for Plaintiff | 4
Page 66
document
877 x 158
Objects: Handwriting, Text, Signature
Page 67
document
2550 x 3300
Objects: Page, Text, Menu | Text: CASE NO: 08-CV-80119-MARRA/JOHNSON | CERTIFICATE OF SERVICE | SERV
Page 68
document
2550 x 3300
Objects: Text, Page, Document | Text: AO 88A (Rev. 01/09) Subpoens to Testify ... Deposition or to P
Page 68
document
787 x 319
Objects: Handwriting, Text, Signature
Page 68
document
129 x 138
Objects: Handwriting, Text, Electronics, Hardware
Page 69
document
2550 x 3300
Objects: Page, Text | Text: AO 88A (Rev. 01/09) Subposna to Testify at Deposition or to Produce Docu
Page 70
document
2550 x 3300
Objects: Page, Text | Text: AO 8&A (Rev. 01/09) Subpoena 10 Testify sta Deposition or to Produce Doc
Page 70
document
941 x 741
Objects: Text, Letter, Page | Text: no exception or waiver applies; or | (iv) subjects a person to u
Page 70
document
920 x 700
Objects: Text, Letter, Page | Text: days after the subpoena is served. If an objection is made, the
Page 70
document
925 x 785
Objects: Text, Page, Letter | Text: (c) Protecting a Person Subject to a Subpoena. | (1) Avoiding Un
Page 71
document
2550 x 3300
Objects: Letter, Text, Page | Text: Schedule "A" to the Subpoena Duces Tecum | of Ghlslane Maxwell |
Page 72
document
2550 x 3300
Objects: Page, Text | Text: AO 88A (REV. 01/09) Subpoena to Testify at # Deposition or to Produce Do
Page 72
document
114 x 119
Objects: Stencil, Smoke Pipe, Text, Handwriting
Page 72
document
939 x 351
Objects: Handwriting, Text, Signature | Text: OR | resenti | 1
Page 73
document
2550 x 3300
Objects: Text, Page, Document | Text: AO SSA (Rev. 01/09) Subpoena to Testify at a Deposition or to
Page 73
document
1003 x 159
Objects: Handwriting, Text, Signature | Text: OR | Attorney's signature
Page 74
document
2550 x 3300
Objects: Text, Page, Document | Text: AO 88A (Rev. 01/09) Subpoena to Teslify at s Deposition or to
Page 75
document
2550 x 3300
Objects: Text, Page, Document | Text: AO 88A (Rov. 01/09) Subpoens to Testify at B Deposition or to
Page 75
document
944 x 242
Objects: Handwriting, Text, Signature, Animal, Fish, Sea Life, Shark | Text: OR | Attorney's s signa
Page 76
document
2550 x 3300
Objects: Page, Text | Text: Federal Rule of Civil Procedure 45 (c), (d), and (e) (Effective 12/1/07)
Page 77
document
2550 x 3300
Objects: Page, Text | Text: Civil Action No. 08-80893CIV-MARRAJJOHNSO | PROOF OF SERVICE | (This sec
Page 78
document
2550 x 3300
Objects: Page, Text, Letter | Text: IN THE CIRGUIT | COURT OF THE | FIFTEENTH JUDICIAL CIRCUIT IN AN
Page 78
photo
102 x 101
Objects: Stencil, QR Code, Musical Instrument, People, Person, Bagpipe
Page 79
document
2550 x 3300
Objects: Page, Text, Letter | Text: Page 2 | and others. | Rothstein and RRA's fraud had no boundary
Page 80
document
2550 x 3300
Objects: Page, Text, Letter | Text: Page 3 | 2, Plaintiff, EPSTEIN, is an adult and currently is res
Page 81
document
2550 x 3300
Objects: Page, Text, Letter | Text: Page 4 | promise of a multi-million dollar recovery relative to
Page 82
document
2550 x 3300
Objects: Page, Text, Letter | Text: Page 5 | Rothstein and his co-conspirators unlawfully obtained a
Page 83
document
2550 x 3300
Objects: Page, Text, Letter | Text: Epstein v. RRA, et al. | Page 6 | 11. Based on media reports, Fe
Page 84
document
2550 x 3300
Objects: Page, Text, Letter | Text: Page 7 | interests in structured settlements." See Preliminary S
Page 85
document
2550 x 3300
Objects: Page, Text, Letter | Text: Page 8 | AB), (hereipafter collectively referred to as the "Civi
Page 86
document
2550 x 3300
Objects: Page, Text, Letter | Text: Epstein v. RRA, et al. | Päge 9 | Spinosa, Jennifer Kerstetter,
Page 87
document
2550 x 3300
Objects: Page, Text, Letter | Text: Page 10 | 24. in each of RRA's Civil Actions, the Plaintiffs are
Page 88
document
2550 x 3300
Objects: Letter, Text, Page | Text: Page 11 | prosecutors said. ROTHSTEIN, who owned half of RRA use
Page 89
document
2550 x 3300
Objects: Page, Text, Letter | Text: Page 12 | 30. By using the Civil Actions against EPSTEIN as *bal
Page 90
document
2550 x 3300
Objects: Page, Text, Letter | Text: Epsteln V. RRA, et al. | Page 13 | including prohibiting the imp
Page 91
document
2550 x 3300
Objects: Page, Text, Letter | Text: Page 14 | transportation on flights of RRA clients on any of EPS
Page 92
document
2550 x 3300
Objects: Page, Text, Letter | Text: Page 15 | 40. EDWARDS filed amended answers to interrogatories i
Page 93
document
2550 x 3300
Objects: Page, Text, Letter | Text: Epstein V. RRA, et al. | Page 16 | investors or to prejudice Eps
Page 94
document
2550 x 3300
Objects: Page, Text, Letter | Text: Page 17 | far as our investigation and resources have permitted,
Page 95
document
2550 x 3300
Objects: Page, Text, Letter | Text: Epstein v. RRA, etal, | Page 18 | but that he could settle, conf
Page 96
document
2550 x 3300
Objects: Page, Text, Letter | Text: Page 19 | emotional distress as à result of her having | volunta
Page 97
document
2550 x 3300
Objects: Page, Text, Letter | Text: Page 20 | intercourse with EPSTEIN and she had never touched his
Page 98
document
2550 x 3300
Objects: Page, Text, Letter | Text: Epstein V.RRA, et al. | Page 21 | 43. ROTHSTEIN, with the intent
Page 99
document
2550 x 3300
Objects: Page, Text, Letter | Text: Page 22 | included extraordinary damages. However, the actual fa
Page 100
document
2550 x 3300
Objects: Page, Text, Letter | Text: Epsteln v. RRA, et at. | Page 23 | EDWARDS and RRA, L.M.'s story
Page 101
document
2564 x 3311
Objects: Page, Text, Letter | Text: Page 24 | "You don't think my whole life I have lived that shitt
Page 101
document
451 x 498
Objects: Text, Page | Text: = | affection toward | A: Never, never | So he never | No
Page 102
document
2550 x 3300
Objects: Page, Text, Letter | Text: Page 25 | c. In her sworn FBI statement (pre-EDWARDS and RRA), L
Page 103
document
2550 x 3300
Objects: Page, Text, Letter | Text: Page 26 | (DT 300:5-8) | e. | In her FBI statement (pre-EDWARDS
Page 104
document
2550 x 3300
Objects: Page, Text, Letter | Text: Page 27 | Yet, with EDWARDS and RRA as her attorneys, L.M. did a
Page 105
document
2550 x 3300
Objects: Page, Text, Letter | Text: Page 2B | Fortunately, their tactics have not been successful. A
Page 106
document
2550 x 3300
Objects: Page, Text, Letter | Text: Epstein V. RRA, et al. | Page 29 | and lascivious conduct in ord
Page 107
document
2550 x 3300
Objects: Page, Text, Letter | Text: Epstein V.RRA, et al. | Page 30 | EPSTEIN may have been promised
Page 108
document
2550 x 3300
Objects: Page, Text, Letter | Text: Page 31 | 55. RRA, ROTHSTEIN, EDWARDS and L.M. each and collecti
Page 109
document
2550 x 3300
Objects: Page, Text, Letter | Text: Epstein v. RRA, et al. | Page 32 | 60. Plaintiff realleges and i
Page 110
document
2550 x 3300
Objects: Page, Text, Letter | Text: Epsteln v. RRA, et al. | Page 33 | Chapter 813, relating to forg
Page 111
document
2550 x 3300
Objects: Page, Text, Letter | Text: Page 34 | 70. After Instituting the Civil Actions against EPSTEI
Page 112
document
2550 x 3300
Objects: Letter, Text, Page | Text: Page 35 | WHEREFORE Plaintiff EPSTEIN demands judgment against D
Page 112
document
664 x 297
Objects: Handwriting, Text, Signature, QR Code | Text: By: | ROBERT | CRITTON, JR., ESQ | Florida "B
Page 113
document
2550 x 3300
Objects: Page, Text, Envelope, Mail, Postcard | Text: Epstein v. RRA, et al. | Page -38 | MICHAEL J.
Page 113
document
551 x 294
Objects: Text, QR Code | Text: BURMAN, CRITTON, LUTTI | 303 Banyan Blvd., Suite 400 | West Palm-Beac
Page 114
document
2550 x 3300
Objects: Page, Text, Letter | Text: UNITED STATES DISTRICT COURT | SOUTHERN DISTRICT OF FLORIDA | CA
Page 115
document
2550 x 3300
Objects: Page, Text, Letter | Text: has been entered. The defendant is also aware that, under certai
Page 116
document
2550 x 3300
Objects: Page, Text, Letter | Text: guilty under this agreement in this case are "offenses against p
Page 117
document
2550 x 3296
Objects: Page, Text, Letter | Text: whether administrativ | e or judicial. The defendant also waives
Page 118
document
2550 x 3300
Objects: Page, Text, Letter | Text: including but not limited to committing a state or federal offen
Page 119
document
2550 x 3300
Objects: Page, Text, Letter | Text: 12. | The United States agrees that it will not oppose defendant
Page 120
document
2550 x 3300
Objects: Page, Text, Letter | Text: 15. | The defendant confirms that he is guilty of the offenses t
Page 121
document
2550 x 3300
Objects: Page, Text | Text: waives any right to file any motion or make any claim, whether under 28
Page 121
document
273 x 152
Objects: Text, Handwriting, Number, Symbol, Acrobatic, Person, Pole Vault, Sport, Track And Field |
Page 121
document
386 x 708
Objects: Text, Handwriting | Text: Date: as | Date: | Date:
Page 121
document
682 x 124
Objects: Handwriting, Text, Signature | Text: 2
Page 121
document
1204 x 805
Objects: Handwriting, Text, Signature | Text: LAWRENCE D. LaVECCHIO | ASSISTANT UNITED STATES ATTORN
Page 122
document
2550 x 3300
Objects: Page, Text, Letter | Text: STATEMENT OF FACTS | The United States of America and SCOTT W. R
Page 123
document
2550 x 3300
Objects: Page, Text, Letter | Text: confidential settlement agreements. Such settlement agreements w
Page 124
document
2550 x 3300
Objects: Page, Text, Letter | Text: Defendant ROTHSTEIN and other co-conspirators falsely informed i
Page 125
document
2550 x 3300
Objects: Page, Text, Letter | Text: Defendant ROTHSTEIN and other co-conspirators falsely advised th
Page 126
document
2550 x 3300
Objects: Page, Text, Letter | Text: Defendant ROTHSTEIN and other co-conspirators distributed lavish
Page 127
document
2550 x 3300
Objects: Page, Text, Letter | Text: The government's evidence would establish that Defendant ROTHSTE
Page 128
document
2550 x 3300
Objects: Page, Text | Text: money laundering activity described above, and that such properties were
Page 128
document
338 x 354
Objects: Text, Handwriting | Text: Date: | Date:
Page 128
document
413 x 300
Objects: Handwriting, Text, Signature | Text: Date:
Page 128
document
302 x 201
Objects: Handwriting, Text, Smoke Pipe, Signature | Text: Date:
Page 128
document
675 x 126
Objects: Handwriting, Text, Signature
Page 128
document
1136 x 688
Objects: Handwriting, Text, Signature | Text: ASSISTANT UNITED STATES ATTORNEY | ASSISTANT UNITED ST
Page 128
document
462 x 221
Objects: Handwriting, Text, Signature | Text: ASSISTANT UNITED | JEFFREX N. KAPLAN
Page 129
document
2550 x 3300
Objects: Page, Text | Text: UNITED STATES BANKRUPTCY COURT | SOUTHERN DISTRICT OF FLORIDA | FORT LAU
Page 130
document
3300 x 2550
Objects: Page, Text, Chart, Plot | Text: Privilege Log-Dated 2-23-2011 | Farmer, Jaffe, Weissing, Ed
Page 131
document
3300 x 2550
Objects: Page, Text, Chart, Plot | Text: Privilege Log-Dated 2-23-2011 | Farmer, Jaffe, Weissing, Ed
Page 132
document
3304 x 2555
Objects: Page, Text, Chart, Plot | Text: Privilege Log-Dated 2-23-2011 | Farmer, Jaffe, Weissing, Ed
Page 133
document
3300 x 2550
Objects: Page, Text, Chart, Plot, Diagram, Plan | Text: Privilege Log - Dated 2-23-2011 | Farmer Jaf
Page 134
document
3304 x 2555
Objects: Chart, Plot, Page, Text, Diagram, Plan | Text: Privilege Log-Dated 2-23-2011 | Farmer, Jaff
Page 135
document
3300 x 2550
Objects: Chart, Plot, Page, Text, Diagram, Plan | Text: Privilege Log - Dated 2-23-2011 | Farmer, Ja
Page 136
document
3300 x 2550
Objects: Page, Text, Chart, Plot | Text: Privilege Log-Dated 2-23-2011 | Farmer, Jaffe, Weissing, Ed
Page 137
document
3300 x 2550
Objects: Page, Text, Chart, Plot, Menu | Text: Privilege Log-Dated 2-23-2011 | Farmer, Jaffe, Weissi
Page 138
document
3300 x 2550
Objects: Chart, Plot, Page, Text | Text: Privilege Log-Dated 2-23-2011 | Farmer, Jaffe, Weissing, Ed
Page 139
document
3300 x 2550
Objects: Chart, Plot, Page, Text | Text: Privilege Log - Dated 2-23-2011 | Farmer, Jaffe, Weissing,
Page 140
document
3307 x 2559
Objects: Page, Text, Chart, Plot | Text: Privilege Log-Dated 2-23-2011 | Farmer, Jaffe, Weissing, Ed
Page 141
document
3303 x 2554
Objects: Page, Text, Chart, Plot | Text: Privilege Log-Dated 2-23-2011 | Farmer. Jaffe, Weissing, Ed
Page 142
document
3300 x 2550
Objects: Page, Text, Chart, Plot | Text: Privilege Log-Dated 2-23-2011 | Farmer Jaffe, Weissing, Edw
Page 143
document
3306 x 2558
Objects: Chart, Plot, Page, Text, Diagram, Plan | Text: Privilege Log-Dated 2-23-2011 | Farmer, Jaff
Page 144
document
3300 x 2550
Objects: Text, Chart, Plot, Page, Diagram, Plan | Text: Privilege Log-Dated 2-23-2011 | Farmer, Jaff
Page 145
document
3300 x 2550
Objects: Page, Text, Chart, Plot | Text: Privilege Log-Dated 2-23-2011 | Farmer, Jaffe, Weissing, Ed
Page 146
document
3300 x 2550
Objects: Page, Text, Chart, Plot | Text: Privilege Log-Dated 2-23-2011 | Farmer, Jaffe, Weissing, Ed
Page 147
document
3300 x 2550
Objects: Page, Text, Chart, Plot | Text: Privilege Log - Dated 2-23-2011 | Farmer Jaffe, Weissing, E
Page 148
document
3300 x 2550
Objects: Page, Text, Chart, Plot, Diagram, Plan | Text: Privilege Log - Dated 2-23-2011 | Farmer, Ja
Page 149
document
3305 x 2556
Objects: Chart, Plot, Text, Page | Text: Privilege Log-Dated 2-23-2011 | Farmer, Jaffe, Weissing, Ed
Page 150
document
3308 x 2561
Objects: Chart, Plot, Page, Text, Diagram, Plan | Text: Privilege Log - Dated 2-23-2011 | Farmer, Ja
Page 151
document
3306 x 2558
Objects: Page, Text, Chart, Diagram, Plan, Plot | Text: Privilege Log-Dated 2-23-2011 | Farmer, Jaff
Page 152
document
3307 x 2559
Objects: Page, Text, Chart, Plot | Text: Privilege Log - Dated 2-23-2011 | Farmer, Jaffe, Weissing,
Page 153
document
3315 x 2570
Objects: Page, Text, Chart, Plot | Text: Privilege Log-Dated 2-23-2011 | Farmer, Jaffe, Weissing, Ed
Page 154
document
3372 x 2644
Objects: Page, Text, Chart, Plot | Text: Privilege Log-Dated 2-23-2011 | rmer, Jaffe, Weissing dward
Page 154
document
1203 x 86
Objects: Text, Stencil, City, Outdoors
Page 154
document
289 x 146
Objects: Text, Blackboard, Number, Symbol, Chart, Plot | Text: 05347
- Action No (p.73) 5%
- Action No (p.75) 5%
- Adam D. Horowitz (p.21) 95%
- Adam D. Horowitz (p.25) 95%
- Adam D. Horowitz (p.67) 95%
- Adam Horowitz (p.21) 95%
- Adam Horowitz (p.130) 95%
- Adam Horowitz (p.131) 95%
- Adam Horowitz (p.132) 95%
- Adam Horowitz (p.133) 95%
- Adam Horowitz (p.134) 95%
- Adam Horowitz (p.135) 95%
- Adam Horowitz (p.136) 95%
- Adam Horowitz (p.137) 95%
- Adam Horowitz (p.138) 95%
- Adam Horowitz (p.139) 95%
- Adam Horowitz (p.140) 95%
- Adam Horowitz (p.141) 95%
- Adam Horowitz (p.142) 95%
- Adam Horowitz (p.143) 95%
- ...and 1344 more
- 1 East Broward Blvd. (p.3) address
- 1 Financial Pl (p.3) address
- 2009 Bradley Edwards Barry St (p.150) address
- 2009 Bradley Edwards St (p.131) address
- 2009 Bradley Edwards St (p.140) address
- 2009 Find More St (p.14) address
- 2009 Susan St (p.137) address
- 2139 Palm Beach Lakes Blvd. (p.3) address
- 250 Austrailian Avenue (p.39) address
- 250 Austrailian Avenue (p.57) address
- 250 Austrailian Avenue (p.62) address
- 250 Australian Ave. (p.3) address
- 250 Australian Ave. (p.39) address
- 250 Australian Ave. (p.57) address
- 250 Australian Ave. (p.62) address
- 250 Australian Avenue (p.3) address
- 301 E. 66th Street (p.42) address
- 301 E. 66th Street (p.47) address
- 301 E. 66th Street (p.52) address
- 401 East Las Olas Blvd. (p.24) address
- ...and 361 more
- File Path
- additional_files/745.pdf
- File Size
- 5,463 KB
- Processed
- 2025-12-20 19:18
- Status
- completed
-
1319.pdf
Unknown - 294 pages
247 shared people 63 shared places -
1417.pdf
Unknown - 258 pages
243 shared people 63 shared places -
1251.pdf
Unknown - 183 pages
234 shared people 53 shared places -
702.pdf
Unknown - 34 pages
98 shared people 27 shared places -
795 (1).pdf
Unknown - 338 pages
75 shared people 24 shared places -
795.pdf
Unknown - 338 pages
75 shared people 24 shared places -
059.pdf
Unknown - 710 pages
42 shared people 22 shared places -
1338.pdf
Unknown - 84 pages
45 shared people 7 shared places -
074.pdf
Unknown - 338 pages
32 shared people 14 shared places -
166.pdf
Unknown - 160 pages
33 shared people 11 shared places -
171.pdf
Unknown - 175 pages
31 shared people 13 shared places -
153.pdf
Unknown - 94 pages
28 shared people 7 shared places -
205.pdf
Unknown - 91 pages
27 shared people 8 shared places -
146.pdf
Unknown - 92 pages
27 shared people 8 shared places -
Epstein Part 17 (Redacted).pdf
Unknown - 151 pages
18 shared people 11 shared places